干货|临床SSU工作内容和具体工作流程
SSU是Study Start Up的缩写,从最初的项目准备,到启动访视(Site Initiation Visit)之前所有的准备工作,对整个临床研究项目的启动非常关键。负责这个关键阶段工作的部门人员,就叫做SS
来源:医疗器械注册代办 发布日期:2023-10-10 阅读量:次
医疗器械产品想要生产销售流程是怎样的?对于初创医疗器械企业而言,新产品想要生产销售需要办理医疗器械注册证和医疗器械生产许可证,必须经历注册检验、临床试验(免临床除外)、体系认证及注册申报等一系列漫长的无盈利过程。对于老牌企业而言,新产品研发的长周期和医疗器械注册证的办理周期也必须经历,免去了办理医疗器械生产许可证的事宜。老牌企业的优势在于,更加让人省心,至少能预估出项目花费和时间成本。如何评估产品安全性风险、申报注册周期、投入资金与成本......都是初创企业创始人最关心的问题。

本文以客户注册案例各流程为节点,给正打算踏入医疗器械生产行业的初创企业指明道路,希望能带来一些微不足道的帮助。文章将按照工商注册、产品设计开发、体系建立、创新产品申报(若涉及)、注册检测、临床试验、注册申报、生产许可申请、产品上市等必要阶段进行简单介绍。
现如今,公司实行注册资本认缴制和三证合一登记制度,注册流程大为简化,注册费用大为节约,注册周期也大为缩减。但在公司注册前,需认真思考经营范围,前置考虑未来产品生产范围,避免后续再做变更。
产品设计开发可分7个阶段:策划阶段、设计输入阶段、设计输出阶段、小试阶段、中试阶段、定型阶段、注册资料准备阶段。
一般而言,创始人创立公司是基于科研成果与产品布局基础上,并已初步具备研发团队、合作伙伴等。但无论如何,对于初创公司而言,因涉及大量资金注入与技术攻坚,产品设计开发阶段十分艰难,时间也是难以预估的,短则数月,长则数年。那么,如何在产品设计开发阶段降低成本,满足需求,增加创新?

首先,产品技术层面,专业高效的研发团队是前提和基础;其次,法规层面,建议寻找专业CRO公司或引进法规团队对产品开发进行严格的风险评估,明确产品申报类型等。但我们常常发现,很多新办企业在产品已定型、开模后,才开始引进法规人员或寻找咨询机构。此时的建议和措施往往基于补救,严重的可能涉及改模、重新设计等。所以对于新办企业而言,法规前置慎重考量。最后,还应关注产品专利布局。公司应重点布局核心技术的知识产权保护,同时还应考虑核心技术转让、购买等问题,而产品的专利申报可以委托相应机构,后期若涉及专利较多,亦可引入兼职或专职人员。
2014年2月7日,CFDA发布了《创新医疗器械特别审批程序(试行)》(食药监械管〔2014〕13号),此文件自2014年3月1日起施行。该程序是在确保上市产品安全、有效的前提下,针对创新医疗器械设置的审批通道,但也有严苛的审批标准:(1)产品核心技术发明专利权。审批申请人经过其技术创新活动,在中国依法拥有产品核心技术发明专利权,或者依法通过受让取得在中国发明专利权或其使用权;或者核心技术发明专利的申请已由国务院专利行政部门公开。(2)国内首创产品。主要工作原理/作用机理为国内首创,产品性能或者安全性与同类产品比较有根本性改进,技术上处于国际领先水平,并且具有显著的临床应用价值。(3)产品基本定型。申请人已完成产品的前期研究并具有基本定型产品,研究过程真实和受控,研究数据完整和可溯源。

若企业产品设计满足上述要求,则应着手申报创新。创新特别审批是申请人已完成产品的前期动物研究并具有基本定型产品即可申报,申报流程详见上图。
据统计,截止目前,CMDE共计收到创新医疗器械特别审批申请近800项(其中,进口产品40余项),通过审查一共149项(进口13项)。审查通过率仅约20%。因此,对于初创企业来说,建议寻找专业的CRO团队合作,提高申报成功率。
为加强对医疗器械的监督管理,提升企业质量管理水平,保障医疗器械产品的安全有效,根据《医疗器械监督管理条例》(国务院令680号)和《医疗器械生产监督管理办法》(2017年修正版),国家食品药品监督管理总局制定并印发了《关于发布医疗器械生产质量管理规范附录无菌医疗器械的公告》(2015年第101号)、《关于发布医疗器械生产质量管理规范附录植入性医疗器械的公告》(2015年第102号)及《关于发布医疗器械生产质量管理规范附录体外诊断试剂的公告》(2015年第103号)。上述三个附录是无菌医疗器械、植入性医疗器械及体外诊断试剂三类产品生产质量管理规范的特殊要求,于2015年10月1日起正式施行。
与此同时,2017年9月1日,CFDA又发布《关于第一类、第二类医疗器械生产企业实施医疗器械生产质量管理规范有关工作的通知》(食药监办械监〔2017〕120号),文件强调自2018年1月1日起,所有医疗器械生产企业均应当符合《医疗器械生产质量管理规范》要求。
因此,医疗器械生产企业需严格按照法规要求建立质量管理体系。而对于初创新公司除了体系建立,还需要面临厂房选址和设计、建设等问题。
对于厂房问题,需要根据产品管理类别进行考量。非无菌产品要求相对较低。若为无菌、体外诊断类产品,则应严格按照法规和标准选址,远离有污染的空气和水(如远离铁离、码头、机场、交通要道以及散发大量粉尘、屠宰场、染料等),对厂房的设计和装修,必须请专业的团队和公司来设计和施工,如行政区、生活区和辅助区不得相互防碍影响,空气洁净级别不同的洁净室(区)之间的静压差应大于5帕,洁净室(区)与室外大气的静压差应大于10帕,空气洁净度级别进行合理布局,人流、物流走向应当合理,避免交叉污染,注意洁净室的水池或地漏等。虽然委托专业公司负责,但整个过程,都需要专业体系人员进一步把关,避免整改,比如消防、环评等通不过等。
建立体系问题,初创团队到底需要多少人?哪些岗位可以兼任?
必备岗位人员:生产负责人1名、研发部负责人1名、质量负责人1名、专职检验员2名、总经理1名;
可兼任岗位人员:(1)管理者代表1名,可由质量负责人兼任;(2)采购部负责人1名,可由研发老大兼任;(3)销售部负责人1名,可由产品经理或总经理兼任;(4)行政部负责人1名,也可让总经理兼任;(5)内审员2名,持有内审资格证的即可兼任,但2人不得在同部门;(6)生产人员1名以上;
如此算来十多个岗位,兼任下来,至少应有6人以上,《医疗器械生产质量管理规范》及相关附录中规定:“企业应当配备与生产产品相适应的专业技术人员、管理人员和操作人员,具有相应的质量检验机构或者专职检验人员的要求。要求生产负责人与质量负责人不得兼任,专职检验员也不要兼任”,虽然明确了三个岗位不得兼任,但也明确提到,应配备相适应的人员,所以还是应当根据产品配备充足的人员,避免被开出不合格项目。
对于初创团队而言,我们应深知:首先,质量管理体系是个系统工作,要有系统的观念和思维。文件及记录仅仅是整个系统的一部分,一个子系统而已,此外还有关键的管理控制子系统,设计控制子系统,生产制造子系统。需要与公司的培训系统,绩效系统,营销系统等等结合互动。基于此,质量管理体系对企业来说,是企业多年运行的标准化沉淀产物。其次,符合规范要求是医疗器械企业生存的底线。行业特殊性,即法规符合性。以往,只知道要符合法规,但具体如何符合法规及指导观念往往都是比较模糊的。当前法规的目标是确保质量管理体系的有效性以持续生产安全有效的医疗器械产品。基于此,法规监管并不希望企业三天两头修改技术文件,工艺文件等,而是应保障在当前法规要求下,可持续生产安全有效医疗器械产品。若日常工作中就对法规要求有所思虑,那么质量管理体系法规符合性相对是较好的。再者,实施质量管理体系的终极目的,不是为了一张认证证书,而是降低风险。对企业来说,若证书拿到就万事大吉,那么企业发展必定不会长远。监管部门审核,监督,你紧张;第三方审核你也紧张;大客户来验厂,估计十之八九你还是会紧张的。与其这样,还不如老老实实的做好基础,做好系统管理。更容易达到实施体系的目的:预防为主,降低风险。最后,我想说,没有继承,何来沉淀,何来文化。风来了,你是否准备好了?
《医疗器械分类界定管理办法》明确规定,申请第二类、第三类医疗器械注册,应当进行注册检验。医疗器械检验机构应当依据产品技术要求对相关产品进行注册检验。注册检验样品的生产应当符合医疗器械质量管理体系的相关要求,注册检验合格的方可进行临床试验或者申请注册。办理第一类医疗器械备案的,备案人可以提交产品自检报告。
医疗器械注册检验时检验机构(必须是CFDA认可有资质的机构)会依据企业所提供给的医疗器械产品技术要求做相应的检验,检验内容主要包括安规性能检验,EMC电磁兼容性检验(有源产品需要,无源产品不需要),生物相容性检验等。
2017年3月15日,经国务院批准,财政部发布《关于清理规范一批行政事业收费有关政策的通知》(财税[2017]20号)。通知明确:自2017年4月1日起,包括医疗器械产品检验费在内的多项事业性收费取消征收,这里包括医疗器械注册检验收费。
据统计,CFDA认可的全国医疗器械检验机构共有53家,各医疗检验机构对这一政策事先并无充分预案,但又必须按时执行。政策貌似助力行业发展,但短期内却给行业发展带来诸多混乱。企业送检就要排长队,过去60个工作日即可完成的,现在200个工作日也未必能完成。有些机构只接受本省样品,跨省不接受,因为取消收费以后,经费均由本省承担,没有充足的资源对外提供服务。当然,CFDA也逐渐意识到当下这种混乱局面,领导非常重视,并委派相关人员深入调研。
针对现状,企业能做的就是在产品开发立项过程中引入专业法规人员把关,协助研发工程师在设计之处就能明确遵循的标准和法规要求,降低后期整改难度。并在送检前的开发阶段做好充分的验证测试,顺利提高检测通过率。
不难发现,中国的医疗器械注册检验制度体系正在重构,并逐渐形成如下趋势:首先,制造商应当注重构建自己的自检体系。因为放松管制意味着制造商将承担更多的主体责任;其次,官方的检验机构正在重新定位,明确自己新的职责,如继续承担监督抽验的任务,承担强制性标准实施任务等等;最后,第三方检验机构迎来新机遇。第三方检验机构一直想在注册检验领域为企业提供服务。过去没有机会,现在机会出现了,大量第三方检测机构未来会有很多的机会参与到整个检验体系的构建当中,分得一杯羹。检验资源增加了,企业会有更多的自主选择权,这是好事。未来检验体系的改革一定是有利于产业发展的。
《医疗器械注册管理办法》(国家食品药品监督管理总局令第4号)
《医疗器械临床评价技术指导原则》(2015年第14号通告)
《医疗器械临床试验质量管理规范》(国家食品药品监督管理总局/中华人民共和国国家卫生和计划生育委员会令第25号)
《关于医疗器械临床试验备案有关事宜的公告》(2015年第87号)
《免于进行临床试验的第二类医疗器械目录》(2014年第12号通告)——488个II类产品
《免于进行临床试验的第三类医疗器械目录》(2014年第13号通告)——79个III类产品
《第二批免于进行临床试验医疗器械目录》(2016年第133号通告)——267个II类(含15个IVD),92个III类产品
《需进行临床试验审批的第三类医疗器械目录》(2014年第14号的通告)——8个III类产品
《第三批免于进行临床试验医疗器械目录》(2017年170号)——116个II类IVD,11个III类产品,37个II类产品
临床评价的三种途径:对列入《免于进行临床试验的医疗器械目录》中的产品,有条件的免于临床试验;对于同品种医疗器械临床试验或临床使用获得的数据进行分析评价;按照《医疗器械临床试验质量管理规范》开展临床试验;
产品若不在目录内,则只能通过临床试验或临床评价两个途径。对于新公司首款产品,条件允许的话,建议做临床试验。首先,免临床途径很难拿到经验数据和对比资料的授权;其次,首款产品注册上市后,其他产品注册也会很快启动,便于后续产品临床工作开展。关于临床试验工作,对于初创团队而言,建议委托第三方有实力、专业的CRO团队,利于更快、更好的推进临床进度。

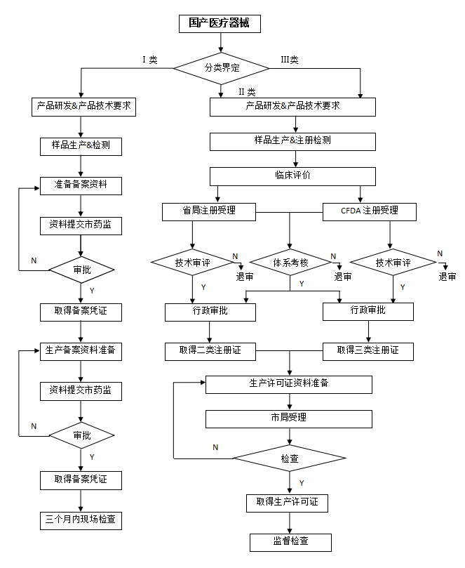
国产医疗器械注册流程图
撰写准备产品综述资料、研究资料、生产制造信息、临床评价资料、产品风险分析资料、产品技术要求、产品注册检验报告、说明书和标签样稿等资料清单,整理递交CFDA。
《医疗器械监督管理办法》明确规定:从事第二类、第三类医疗器械生产的,生产企业应当向所在地省、自治区、直辖市人民政府食品药品监督管理部门申请生产许可并提交其符合本条例规定条件的证明资料以及所生产医疗器械的注册证。受理生产许可申请的食品药品监督管理部门应当自受理之日起30个工作日内对申请资料进行审核,按照国务院食品药品监督管理部门制定的医疗器械生产质量管理规范的要求进行核查。对符合规定条件的,准予许可并发给医疗器械生产许可证;对不符合规定条件的,不予许可并书面说明理由。
根据现行法规,医疗器械先注册后许可。所以新办企业会面临一个特殊时期,拿到注册证不能马上销售,需要申请“生产许可证”。以江苏省为例,2014年12月22日,JSFDA发布《关于明确江苏省第二类、第三类医疗器械生产企业注册与生产许可环节质量管理体系现场核查相关事宜的通知》(苏食药监械管〔2014〕369号),通知明确:为减少重复现场考核、提高工作效率,第二类和第三类医疗器械首次注册的现场考核与生产许可环节质量管理体系现场考核,原则上合并进行。因此,对于新设企业首款产品而言,产品注册证和生产许可证基本可以同步拿到。
生产许可申请,法规规定为30个工作日,即1个月的时间。若现场审核无重大缺陷,并整改顺利,基本上2-3个月即可拿到生产许可证。在此阶段,公司可提前预热,做好市场推广,参展试用,但切记不可销售。所以,在申请生产许可期间,公司基本上全部流程、文件都已形成,人员也已全部到位。万事具备,只欠生产许可证。
(1)医疗器械产品注册证
医疗器械产品注册证是医疗器械产品上市销售的合格证明。第一类医疗器械产品备案,向市级食品药品监督管理局提交备案资料。第二类医疗器械产品注册,向所在地省、自治区、直辖市食品药品监督管理部门提交注册申请资料。第三类医疗器械产品注册,注册申请人应当向国家食品药品监督管理局(CFDA)提交注册申请资料。
(2)医疗器械生产许可证
医疗器械生产许可证是医疗器械生产企业获得医疗器械产品生产的资质证明。从事第一类医疗器械生产的,向市食品药品监督管理局备案。从事第二类、第三类医疗器械生产的,省、自治区、直辖市食品药品监督管理局申请生产许可并提交相应的证明资料以及所生产医疗器械的注册证。
产品注册过程中,初创团队最关心的就是费用及时间。以下为详细流程表,涉及每个阶段时限和费用。
对于资金投入,并未严格细化。但可粗算下:工商注册费用可忽略不计;研发投入需结合具体产品和团队,难以预估。但以5人的研发团队计算,人力资源成本约100万/年。厂房建立涉及厂房装修和后期体系建设。厂房装修和租赁费用,以1000平米计算,装修约200万人民币。租金按照30元/平米/月计算,一年就是36万,加上水电物业将近50万。质量体系建设是个系统工作,涉及产品的全生命周期,费用简单预估50万左右。注册检测不收费,若产品免临床也不产生费用,做临床的话根据产品而定,十几万至几千万都有可能。国产三类产品首次注册费用为15.36万,二类产品首次注册费用则由各省级价格、财政部门制定。以江苏省为例,二类产品首次注册费用8.45万元。小微企业提出的第二类医疗器械产品首次注册申请,可免收首次注册费。
时间方面,我们也可简单粗算:厂房选址按照3个月计算,公司注册耗时30个工作日左右;厂房装修需3个月左右;若产品研发结束,已基本定型,可直接启动注册检验工作。无不合格项目修复或整改补检,可按照150个工作日计算;若产品免临床则相对简单,做临床的话则需根据产品而定,3个月至一两年都是有可能的。资料准备充分后递交CFDA受理,技术审评中心排队审评并补正,预计耗时180个工作日。审评通过即可开展体系考核,若无重大缺陷项目,30个工作日后即可取得产品注册证。二类和三类产品耗时差异主要体现在临床方面,注册检验和审评阶段差异其实并不大。简单算来,除去前期的准备阶段,产品注册耗时约:360工作日+临床试验时间。

站点声明
本网站所提供的信息仅供参考之用,并不代表本网赞同其观点,也不代表本网对其真实性负责。图片版权归原作者所有,如有侵权请联系我们,我们立刻删除。如有关于作品内容、版权或其它问题请于作品发表后的30日内与本站联系,本网将迅速给您回应并做相关处理。
郑州思途医疗科技有限公司专注于医疗器械产品政策与法规规事务服务,提供产品注册备案申报代理、临床试验、体系建立辅导、分类界定、申请创新办理服务。
SSU是Study Start Up的缩写,从最初的项目准备,到启动访视(Site Initiation Visit)之前所有的准备工作,对整个临床研究项目的启动非常关键。负责这个关键阶段工作的部门人员,就叫做SS
初次申请消字号备案,总会遇到磕磕绊绊的问题,常见的有申请流程、申请资料、申请周期等问题,本文将对申请消字号产品流程及费用简单概述,对即将进入消毒产品行业的企业做一
医疗器械的使用寿命是指医疗器械从规划、设计、生产、销售、安装调试到使用、维修、维护检测、报废的全过程。而医院使用的医疗器械的应用质量和安全管理在整个寿命过程中占重
从事医疗器械注册的小伙伴们可能都为同一个问题苦恼过,那就是医疗器械注册单元的划分。企业所设计开发出的产品,其所包含的产品范围,是否可通过一个注册单元完成注册,从而
医疗器械注册证是依照法定程序,对拟上市销售、使用的医疗器械的安全性、有效性进行评价,决定同意其销售、使用后发放的证件,由国家食品药品监督管理总局统一制定。"
随着医疗器械出口的日益增长,根据市场的需求各医疗器械生产厂商需要符合国家和地区的质量体系法规越来越多,所以经常会碰到出处于不同法规或标准的一些比较容易混淆的概念及
刚接触医疗器械CRO行业的小伙伴,在学习文件法规资料的同时,常看到一些英文类专业名词不知道是什么意思。下面,一起看看常见的医疗器械临床试验专业术语......"
大多数CRO公司在临床试验现场启动会(SIV)上,常由CRA主导。作为一名有上进心的CRA必须清楚的了解到临床试验现场启动考察的流程,再分享一些本人在启动会考察的细节,请看下文。
关中心访视(Close Out Visits,简称COV),想必大家都听说过。作为临床试验最后一个阶段,COV也是非常重要的一个环节,今天和大家分享一下作为监查员在COV时应该做哪些工作。什么时候
目前,临床研究注册的要求是,前瞻性随机对照研究必须在研究开始前注册,观察性研究目前尚无统一要求,但有需要注册的趋势(脊柱外科前瞻性的研究不注册,文章一般很难发表,
行业资讯
知识分享
八年
医疗器械服务经验
联系思途,免费获得专属《落地解决方案》及报价
咨询相关问题或咨询报价,可以直接与我们联系
思途CRO——医疗器械注册临床第三方平台
