促卵泡生成素检测试剂注册技术审查指导原则(2020年第14号)
来源:医疗器械注册代办 发布日期:2020-03-05 阅读量:次
附件:促卵泡生成素检测试剂注册技术审查指导原则(2020年第14号).doc
促卵泡生成素检测试剂注册技术审查
指导原则
本指导原则旨在指导注册申请人对促卵泡生成素检测试剂注册申报资料的准备及撰写,同时也为技术审评部门对注册申报资料的技术审评提供参考。
本指导原则是对促卵泡生成素检测试剂的一般要求,申请人应依据产品的具体特性确定其中内容是否适用,若不适用,需具体阐述理由及相应的科学依据,并依据产品的具体特性对注册申报资料的内容进行充实和细化。
本指导原则是供申请人和审查人员使用的指导文件,不涉及注册审批等行政事项,亦不作为法规强制执行,如有能够满足法规要求的其他方法,也可以采用,但应提供详细的研究资料和验证资料。应在遵循相关法规的前提下使用本指导原则。
本指导原则是在现行法规、标准体系及当前认知水平下制定的,随着法规、标准体系的不断完善和科学技术的不断发展,本指导原则相关内容也将适时进行调整。
一、适用范围
促卵泡生成素检测试剂用于体外定量检测人血清、血浆、全血或其他体液样本中促卵泡生成素(Follicle-stimulating hormone,FSH)的含量。本指导原则适用于以酶标记、(电)化学发光标记、(时间分辨)荧光标记等标记方法为捕获抗体,以微孔板、管、磁颗粒、微珠和塑料珠等为载体包被抗体,定量检测FSH的免疫分析试剂,不适用于以胶体金标记的FSH定量检测试纸条、用放射性同位素标记的各类放射免疫或免疫放射检测试剂。根据《体外诊断试剂注册管理办法》(国家食品药品监督管理总局令第5号)和《食品药品监管总局关于印发体外诊断试剂分类子目录的通知》(食药监械管〔2013〕242号),促卵泡生成素检测试剂应按照第二类医疗器械管理,分类代号为6840。
二、注册申报资料要求
(一)综述资料
促卵泡生成素是由垂体前叶嗜碱性细胞合成和分泌的一种糖蛋白类促性腺激素,可通过血液循环进入血液和尿液。像其它糖蛋白如促黄体生成素(LH)、促甲状腺激素(TSH)和人绒毛膜促性腺激素(HCG)一样,FSH由两个以非共价键结合的亚单位α和β亚基组成,分子量为24 000~35 000,α-亚单位与LH、TSH和HCG结构相似,为垂体前叶激素所共有,β-亚单位是FSH所特异的,因此,这些激素的生物学和免疫学特性的区别取决于其独特的β亚基。对于男性,其功能是促进睾丸曲细精管的成熟和精子的生成。对于女性,则可促进卵泡发育和成熟,促进颗粒细胞增殖,引起卵泡液分泌,并与LH协同调节和促使发育成熟的卵泡分泌雌激素和排卵,参与正常月经的形成。
FSH的增高多见于原发性睾丸衰竭、睾丸精原细胞瘤、先天性睾丸发育不全、先天性卵巢发育不全、原发性闭经、原发性性腺功能低下、更年期综合征;其降低常见于席汉综合征及长期服用性激素等。
综述资料主要包括产品预期用途、产品描述、有关生物安全性的说明、产品主要研究结果的总结和评价以及同类产品上市情况介绍等内容,其中同类产品上市情况介绍部分应着重从方法学、检出限、线性范围、准确度、参考区间及临床适用范围等方面写明拟申报产品与目前市场上已获批准的同类产品之间的主要区别。综述资料作为注册申报资料的重要组分之一,其内容应符合《体外诊断试剂注册管理办法》(国家食品药品监督管理总局令第5号)和《关于公布体外诊断试剂注册申报资料要求和批准证明文件格式的公告》(国家食品药品监督管理总局公告2014年第44号)的相关要求。
(二)主要原材料研究资料(如需提供)
应提供主要原材料如抗体、标记物、固相载体、校准品、质控品(如适用)等的选择、制备及其质量标准等的研究资料。主要原材料的研究资料具体要求如下:
1.抗体的选择及质量标准
明确抗体的来源,如为单克隆抗体应明确细胞株、克隆号等内容。提供抗体灵敏度、特异性、纯度、效价等基本性能的验证资料。
抗体如为自行生产,提供抗体的详细生产及鉴定过程。
2.校准品(如适用)和质控品(如适用)的原料选择、制备、定值过程及试验资料。
3.申请人应根据 GB/T 21415-2008/ISO 17511:2003《体外诊断医疗器械生物样品中量的测量 校准品和控制物质赋值的计量学溯源性》提供所用校准品的来源、明确校准品的质量标准、赋值过程和相应指标以及不确定度等内容,并提供校准品的溯源性文件(如适用)。
(三)主要生产工艺及反应体系的研究资料(如需要提供)
应包括以下内容(以下内容可根据具体的方法学特点进行编写):
1.主要生产工艺介绍,可以流程图方式表示,并标明关键工艺质控步骤,简要说明主要生产工艺的确定依据。
2.产品反应原理介绍。
3.抗体包被工艺研究:申请人应考虑如包被抗体浓度、包被缓冲液、表面活性剂等种类及添加量(如适用)、包被时间、干燥温度及时间(如适用)等工艺参数对产品性能的影响,通过试验确定上述指标的最佳组合。
4.抗体标记工艺研究:申请人应考虑标记抗体的浓度、标记比例等内容。
5.反应条件确定:申请人应考虑反应模式、反应时间、反应温度、洗涤次数(如适用)等条件对产品性能的影响,通过试验确定上述条件的最佳组合。
6.不同适用机型的反应条件如果有差异应分别详述。
7.体系中样本及试剂的加样方式及添加量确定:申请人应考虑样本加样方式、加样量以及试剂添加顺序、添加量对产品检测结果的影响,通过实验确定最佳的样本及试剂的添加方式和添加量。如样本需采取稀释或其他必要的方法进行处理后方可用于最终检测,申请人还应对可用于样本稀释的基质或处理方法进行研究,通过试验确定样本稀释基质或处理方法。确定反应所需其他试剂用量(标准品、标记物、底物等)的研究资料。
8.固相载体、信号放大系统、显色(发光)系统、酶作用底物等的介绍及研究资料。
(四)分析性能评估资料
申请人应提交在产品研制或成品验证阶段对试剂进行的所有性能验证的研究资料,对于每项分析性能的评价都应包括具体研究方法、可接受标准、试验数据、统计分析等详细资料。有关分析性能验证的背景信息也应在申报资料中有所体现,包括实验地点、适用仪器、试剂规格、批号、临床样本来源等。建议选择不少于3批产品对以下分析性能进行研究,性能评估时最好将试剂和所选用的校准品、质控品作为一个整体进行评价,评估整个系统的性能是否符合要求。具体研究方法建议参照国内外有关体外诊断产品性能评估的文件进行。
性能评估应至少包括检出限、准确度、特异性、线性、精密度等。
对于本试剂,建议着重对以下分析性能进行研究:
1.检出限
生产企业应提供促卵泡生成素试剂的空白限、检出限及参考区间等相关信息,根据生产企业提供信息,对5份浓度近似LOD的低值样本进行检测,每份样本检测5次,对检测结果按照大小进行排序,符合如下条件,即可认为生产企业提供的空白限和检出限的设置基本合理:
1.1低于生产企业提供的空白限数值的检测结果的数量应小于或等于3个;
1.2无高于生产企业提供的参考区间下限的检测结果的数值。
2.准确度
对测量准确度的评价依次包括:与国家标准品(和/或国际标准品)的相对偏差、方法学比对、回收试验等方法,申请人可根据实际情况选择以下方法的一项或几项进行研究。
准确度可选择如下试验方法之一:
2.1将促卵泡生成素国家(或国际)标准品配制成试剂盒线性范围内高、低浓度的准确度样品(至少2个)进行检测,每个样品测试3次,根据公式(1)计算相对偏差。如果3次结果都符合规定,即判为合格;如果大于等于2次的结果不符合,即判为不合格;如果有1次结果不符合规定,则应重新连续测试20次,分别计算相对偏差,如果大于等于19次测试的结果符合规定,即判为合格;
式中:
B —相对偏差;
Xi—样本的实测浓度均值;
T —样本的靶值。
2.2方法学比对
采用参考方法或国内/国际普遍认为质量较好的已上市同类试剂作为比对方法,与拟申报试剂同时检测一批临床样品(至少40例样本),从测定结果间的差异了解拟申报试剂与参比方法间的偏倚。
用线性回归方法对两组结果进行线性拟合,得到线性回归方程的相关系数(r)和斜率。计算各个样本的待测试剂(盒)测定值与对照系统测定值的绝对偏差或相对偏差。
在实施方法学比对前,应分别对拟申报试剂和比对试剂进行初步评估,只有在确认两者都分别符合各自相关的质量标准后方可进行方法学比对。方法学比对时应注意质量控制、样本类型、浓度分布范围并对结果进行合理的统计学分析。
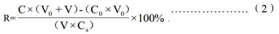
2.3将已知浓度的促卵泡生成素样本(A)加入到正常人血清或其他等效基质(B)中,所加入促卵泡生成素样本与正常人血清B之间的体积比例为1:9,根据公式(2)计算结果应符合要求。
式中:
R--回收率;
V--加入A样本的体积;
V0--血清样品B的体积;
C--血清样品加入A样本后的检测浓度;
C0--血清样品B的检测浓度;
Cs—A样本的浓度。
回收试验应注意在保证总浓度在方法分析测量范围内,尽量使加入已知浓度的促卵泡生成素样本(A)后样本中的被测物浓度接近医学决定水平;
3.线性范围
建立试剂线性范围所用的样本基质应与临床实验样本相似,但不可采用含有对测定方法具有明确干扰作用物质的样本。理想的样本为分析物浓度接近预期测定上限的人血清(或其他等效基质),且应充分考虑多倍稀释对样本基质的影响。建立一种定量测定方法的线性范围时,需在预期测定范围内选择7~11个浓度水平。例如,将预期测定范围加宽至130%,在此范围内选择更多的浓度水平,然后依据实验结果逐渐减少数据点直至表现出线性关系,可发现最宽的线性范围。验证线性范围时可选择5~7个浓度水平。所选用的浓度水平应可覆盖整个预期测定范围并包括与临床有关的重要评价浓度,如最小测定浓度或线性范围的最低限、不同的医学决定水平、最大测定浓度或线性范围的高限等。
4.精密度
对测量精密度的评估至少应包括2个浓度水平的质控品,建议质控品采用人源样本或与人源样本基质接近的样本进行试验,质控品浓度都应在试剂的测量范围内,包括具有临床代表意义的低浓度值和高浓度值。
一般包括批内精密度、批间精密度的评价。
4.1批内精密度:在试剂的剂量-反应曲线范围内,设置2~3个不同浓度的质控品,用同一批号试剂,对不同浓度的质控品分别重复测定10次,计算测定结果的平均值()和标准差(s),根据公式(3)得出变异系数(CV)。
4.2批间精密度:在3个不同批次试剂之间, 在试剂的剂量-反应曲线范围内,设置2~3个不同浓度的质控品,对不同浓度的质控品分别重复测定10次,计算30次测定结果的平均值()和标准差(s),根据公式(3)得出变异系数(CV)。
5.分析特异性
5.1交叉反应:易产生交叉反应的其他抗原、抗体等的验证情况,应至少包括促黄体生成素样本(LH)、促甲状腺素样本(TSH)、人绒毛膜促性腺激素样本(HCG),交叉反应验证物质的浓度应涵盖人体生理及病理状态下及临床治疗过程中可能出现的最高浓度值。
5.2干扰物质
5.2.1 内源性干扰物样本中常见干扰物质对检测结果的影响,如甘油三酯、胆红素、血红蛋白、类风湿因子(RF)及其干扰物质的研究。干扰物浓度的分布应覆盖人体生理及病理状态下可能出现的物质浓度。
5.2.2样本添加剂的干扰 如果试剂(盒)适用样本类型包括血浆(或全血)样本,应采用各种适用抗凝剂抗凝的血浆(或全血)样本分别与血清样本进行对比实验研究。方法为对比线性范围内的同一病人的血清和血浆(或全血)样本,以验证申报试剂对于血清和血浆(或全血)样本检测结果的一致性。
5.2.3试剂组成成分的干扰(如适用)应考虑防腐剂对检测结果的干扰,如氟化钠、碘乙酸、盐酸等。
6.HOOK效应(如适用)
目前,促卵泡生成素检测试剂大多采用夹心法的原理检测样本,考虑到方法学的缺陷,有必要对钩状(HOOK)效应进行考虑。建议采用高浓度的促卵泡生成素样本进行梯度稀释后由低浓度至高浓度开始检测,每个梯度的抗原样本重复3—5份,将响应值随浓度升高反而变小时的浓度作为出现钩状效应时促卵泡生成素抗原的最低浓度,建议产品说明书上明示出现钩状效应时促卵泡生成素的最低浓度,或浓度达到一定数值时未发生钩状效应。
7.校准品和质控品的性能指标(如适用)
参照GB/T 21415-2008《体外诊断医疗器械生物样品中量的测量校准品和控制物质赋值的计量学溯源性》的要求,提供企业工作校准品及试剂盒配套校准品的来源、赋值过程以及测量不确定度相关资料,提供质控品赋值及其质控范围确定的相关资料。同时,应对校准品、质控品的瓶内均匀性、瓶间均匀性(冻干品适用),以及其赋值结果的准确度进行评价。如校准品或质控品的基质不同于临床常用样本类型,还应提交基质效应的相关研究资料。冻干型校准品和质控品还应检测批内瓶间差。
性能指标的评价方法并无统一的标准可依,可根据不同的试剂特征进行,前提是必须保证研究的科学合理性。
8.其它需注意问题
8.1对于适用多个机型的产品,应提供在所有适用型号仪器上进行的性能验证资料。
8.2若产品涉及不同包装规格且不同包装规格间存在性能差异,则需要提供每个包装规格在不同型号仪器上的评估资料;如已验证不同包装规格之间不存在性能上的差异,需要提交包装规格间不存在性能差异的说明。
8.3不具有可比性的样本类型(血液、尿液)应分别进行分析性能评估。对于血浆样本和全血样本,确认最适的抗凝剂种类或明显干扰检测结果的抗凝剂,并在说明书样本要求中明确。
(五)参考区间确定资料
应提交参考区间建立或验证时所采用样本来源及详细的试验资料。应明确参考人群的筛选标准,应对性别及女性卵泡期、排卵期、黄体期、绝经期进行分组研究,例数应符合统计学要求,女性样本入组时生理周期的确定依据应科学合理。建议参考国际或国内有关体外诊断产品参考区间确定的文件。
(六)稳定性研究资料
稳定性研究资料主要涉及两部分内容,申报试剂的稳定性和适用样本的稳定性研究。
前者主要包括长期稳定性、运输稳定性、开瓶稳定性等研究,如组分为冻干粉,应有复溶稳定性研究,申请人可根据实际需要选择合理的稳定性研究方案。稳定性研究资料应包括研究方法的确定依据、具体的实施方案、详细的研究数据以及结论。对于实时稳定性研究,应提供至少3批样品在实际储存条件下保存至成品有效期后的研究资料。如产品包含校准品和质控品,应提供相应稳定性试验研究资料。
后者主要包括冷藏和冷冻条件下的有效性验证,可以在合理的温度范围内选择温度点(温度范围),每间隔一定的时间段即对储存样本进行稳定性验证,从而确认不同类型样本的保存稳定性。适于冷冻保存的样本还应对冻融次数进行评价。
试剂稳定性和样本稳定性两部分内容的研究结果均应在说明书【储存条件及有效期】和【样本要求】两项中进行详细说明。
(七)临床评价资料
根据《关于公布新修订免于进行临床试验医疗器械目录的通告》(国家药品监督管理局通告2018年第94号),促卵泡生成素检测试剂可免于进行临床试验,申请人可依照《免于进行临床试验的体外诊断试剂临床评价资料基本要求(试行)》开展评价。申请人如无法或不适于按照上述要求对产品进行临床评价,则应按照《体外诊断试剂临床试验技术指导原则》的要求开展临床试验。下面仅对临床试验中的基本问题进行阐述。
对于进行临床试验的产品,临床试验总体要求及临床试验资料的内容应符合《体外诊断试剂注册管理办法》、《关于公布体外诊断试剂注册申报资料要求和批准证明文件格式的公告》(国家食品药品监督管理总局公告2014年第44号)和《体外诊断试剂临床试验技术指导原则》(国家食品药品监督管理总局通告2014年第16号)临床研究资料有关的规定。
以下仅根据促卵泡生成素检测试剂的特点对其临床试验中应重点关注的内容进行阐述。
1.临床试验研究方法
选择境内已批准上市、临床普遍认为质量较好的同类产品作为参比试剂,采用拟申报产品(以下称考核试剂)与之进行同步盲法对比试验,证明本品与已上市产品等效或优于已上市产品。建议企业尽量选择方法学、溯源性、参考区间、线性范围等相同的同类试剂作为对比试剂。如方法学不同,则应首选方法学性能较高的对比试剂进行临床试验。
2.临床试验机构的选择
2.1第二类产品申请人应当选定不少于2家(含2家)有资质的临床试验机构开展临床试验。
2.2临床试验机构应有能力提供临床试验所需的各类样本,实验操作人员有足够的时间熟悉检测系统的各环节(仪器、试剂、质控及操作程序等),熟悉评价方案。在整个实验中,考核试剂和对比试剂都应处于有效的质量控制下,定期对仪器进行校准,最大限度保证试验数据的准确性及可重复性。
3.临床试验方案
临床试验实施前,研究人员应从流行病学、统计学、临床医学、检验医学等多方面考虑,设计科学合理的临床研究方案。各临床试验机构的方案设置应一致,且保证在整个临床试验过程中遵循预定的方案实施,不可随意改动。整个试验过程应在临床试验机构的实验室内并由本实验室的技术人员操作完成,申报单位的技术人员除进行必要的技术指导外,不得随意干涉实验进程,尤其是数据收集过程。
试验方案中应确定严格的病例纳入/排除标准,任何已经入选的病例再被排除出临床研究都应记录在案并明确说明原因。在试验操作过程中和判定试验结果时应采用盲法及样本随机分配以保证试验结果的客观性。试验方案中还应明确两种试剂检测结果不一致的判定依据,以及结果不一致样本复核的方法。各临床试验机构选用的对比试剂应一致,对比试剂的适用机型应评估一致性后选用,以便进行合理的统计学分析。另外,考核试剂的样本类型不应超越对比试剂对样本类型的检测要求,如果选择了对比试剂适用样本类型以外的样本,则应进行不同样本类型之间的临床对比验证试验。
4.研究对象选择
4.1对于不具有可比性的样本类型,每种样本类型临床试验的总样本数至少为200例。对于声称同时适用于血清、血浆、全血样本,且样本类型不超出对比试剂对样本类型的检测要求,除完成一个样本类型不少于200例的临床研究外,还应进行两两样本类型相关性研究以确认其检测结果是否完全一致或存在某种相关性(如系数关系),其例数应符合统计学要求。建议参考《体外诊断试剂临床试验技术指导原则》中增加样本类型的变更要求。
4.2应考虑样本量的分布,各临床试验机构样本量和样本分布应相对均衡。
4.3样本浓度应覆盖考核试剂检测范围,尽可能均匀分布。尽可能使不少于30%样本的测定值处于参考区间以外,但在检测范围内。
4.4应明确临床样本的采集要求。
4.4.1应明确抗凝剂的要求(如适用),对检测结果有明显干扰作用的样本,如高脂、溶血、黄疸的样本尽量避免使用。建议在临床试验中选择部分易产生交叉反应的样本,如早孕、甲减等相关疾病的样本,以从临床角度验证试剂的特异性。
4.4.2试验中,尽可能使用新鲜样本,避免贮存。如无法避免使用贮存样品时,注明贮存条件及时间,在数据分析时应考虑其影响。另外需要关注对比试剂说明书中对样本的相关要求,临床试验用的样本需同时满足考核试剂和对比试剂的相关要求。
5.伦理学要求
临床试验必须符合赫尔辛基宣言的伦理学准则,必须获得临床试验机构伦理委员会的同意。研究者应考虑临床试验用样本的获得和试验结果对受试者的风险性,应提交伦理委员会的审查意见及受试者的知情同意书。对于例外情况,如客观上不可能获得受试者的知情同意或该临床试验对受试者几乎没有风险,可经伦理委员会审查和批准后免于受试者的知情同意。
6.统计学分析
对临床试验结果的统计应选择合适的统计方法,对于比对试验的等效性研究,最常用是对考核试剂和对比试剂两组检测结果的相关及回归分析,用回归分析验证两种试剂结果的相关性,以y=a+bx和R2的形式给出回归分析的拟合方程,其中:y是考核试剂结果,x是对比试剂结果,b是方程斜率,a是y轴截距,R2是判定系数,同时应给出b的95%(或99%)置信区间,定量值结果应无明显统计学差异。
结合临床试验数据的正/偏态分布情况,建议统计学负责人选择合理的统计学方法进行分析,统计分析应可以证明两种方法的检测结果是否存在明显统计学差异。
7.结果差异样本的验证
在数据收集过程中,对于两种试剂的检测结果有明显差异的样本,应采用“金标准”或其他合理的方法进行复核,以便对临床试验结果进行分析。如无需复核,应详细说明理由。
8.临床试验总结报告撰写
根据《关于发布体外诊断试剂临床试验技术指导原则的通告》(国家食品药品监督管理总局通告2014年第16号)的要求,临床试验报告应该对试验的整体设计及各个关键点给予清晰、完整的阐述,应该对整个临床试验实施过程、结果分析、结论等进行条理分明的描述,并应包括必要的基础数据和统计分析方法。
9.讨论和结论
对总体结果进行总结性描述并简要分析试验结果,对本次临床试验有无特别说明,最后得出临床试验结论。
(八)产品风险分析资料
申请人应考虑产品生命周期的各个环节,从预期用途、可能的使用错误、与安全性有关的特征、已知及可预见的危害等方面的判定以及对患者风险的估计进行风险分析,应符合YY/T 0316-2016 《医疗器械风险管理对医疗器械的应用》的要求。
(九)产品技术要求
产品技术要求应符合《体外诊断试剂注册管理办法》(国家食品药品监督管理总局局令第5号)和《国家食品药品监督管理总局关于发布医疗器械产品技术要求编写指导原则的通告》(国家食品药品监督管理总局通告2014年第9号)的相关规定。
1.适用的产品标准
注:以上标准如有修订,以最新发布版本为准
2.主要性能指标
作为定量检测试剂,应主要包括以下性能指标:外观、检出限、准确度、线性、精密度(批内精密度、批间精密度)、特异性、稳定性等。技术要求应不低于现行的国家/行业标准的相关要求。
(十)产品注册检验报告
根据《体外诊断试剂注册申报资料要求和批准证明文件格式》的要求,应提供具有相应医疗器械检验资质和承检范围的医疗器械检验机构出具的产品注册检验报告和产品技术要求预评价意见。应采用国家标准品进行注册检验。如有相应的国家法规发布或更新,按其要求执行。
(十一)产品说明书
说明书承载了产品预期用途、检验原理、检验方法、检验结果解释以及注意事项等重要信息,是指导实验室工作人员正确操作、临床医生针对检验结果给出合理医学解释的重要依据。因此,产品说明书是体外诊断试剂注册申报最重要的文件之一。产品说明书的格式应符合《医疗器械说明书和标签管理规定》(国家食品药品监督管理总局通告2014年第6号)、《体外诊断试剂说明书编写指导原则》(国家食品药品监督管理总局通告2014年第17号)的要求。产品说明书的所有内容均应与申请人提交的注册申报资料中的相关研究结果保持一致,如某些内容引用自参考文献,则应以规范格式对此内容进行标注,并单独列明参考文献的相关信息。
以下内容仅对促卵泡生成素检测试剂说明书的重点内容进行详细说明,说明书其他内容应根据《体外诊断试剂说明书编写指导原则》要求进行编写。
产品说明书内容原则上应全部用中文进行表述;如含有国际通用或行业内普遍认可的英文缩写,可用括号在中文后标明;对于确实无适当中文表述的词语,可使用相应英文或其缩写。
1.【产品名称】
1.1试剂(盒)名称由三部分组成:被测物名称、用途、方法或原理。检验的方法或者原理应明确到细分的具体方法学,如:促卵泡生成素测定试剂(磁微粒化学发光法)。
2.【包装规格】
如不同包装规格有与之特定对应的机型,应同时明确适用机型
3.【预期用途】
3.1试剂盒用于定量检测人×××样本中的促卵泡生成素。其中,×××应写明适用的样本类型为血清、血浆全血还是尿液,上述内容均应有相应的分析性能评估资料和(或)临床评价资料支持。
3.2与预期用途相关的临床适应症背景情况,说明相关的临床或实验室诊断方法等。
4.【检验原理】
应结合产品主要成分详细说明检验原理、方法,必要时可采用图示方法描述
5.【主要组成成分】
5.1说明试剂盒包含组成、数量、浓度或含量等信息。
5.2建议对所包被抗体的相关信息进行简单介绍。
5.3对于校准品和质控品(如适用):
5.3.1注明校准品的定值及其溯源性,溯源性资料应写明溯源的最高级别(应包括标准物质或参考方法的发布单位及编号)。
5.3.2应明确说明质控品的生物学来源、活性及其他特性,应明确靶值范围(如靶值范围为批特异,可注明批特异,并附单独的靶值单)。
5.4对于多组分试剂应明确说明不同批号试剂盒中各组分是否可以互换,如可互换,则需提供相应的性能验证资料。
5.5对于产品中不包含,但对该试验必需的试剂组分,说明书中应列出此类试剂的名称、纯度,提供稀释或混合方法及其他相关信息。
6.【储存条件及有效期】
6.1对试剂的实时稳定性、开瓶稳定性(如适用)、复溶稳定性(如适用)、冻融次数限制(如适用)等信息作详细介绍。包括环境温湿度、避光条件等。
6.2不同组分保存条件及有效期不同时,应分别说明,产品总有效期以其中效期最短的为准。
注:保存条件不应有模糊表述,如“常温”、“室温”。
6.3生产日期、使用期限或失效日期
7.【适用仪器】
7.1如适用仪器为通用型的酶标仪则需给出配置波长的要求。
7.2如适用仪器为非通用的仪器则需写明具体适用仪器的型号,不能泛指某一系列仪器,并且与分析性能评估资料一致。
8.【样本要求】重点明确以下内容:
8.1明确本产品适用的样本类型,血液样本应当说明对采血管及抗凝剂的要求,其他样本应说明样本采集、处理及保存方式。
8.2样本采集:采集时间点是否受临床症状、用药情况等因素的影响,尽量减少由于样本采集或处理不当对实验造成的影响。
8.3样本处理、运送及保存:明确样本处理方法、样本的保存条件及期限(短期、长期)等。冷藏/冷冻样本检测前是否须恢复室温,冻融次数的要求。
9.【检验方法】详细说明试验操作的各个步骤
9.1试验环境:温、湿度条件及样本复温等要求。
9.2试剂使用方法、注意事项,试剂开封后注意事项等。
9.3待测样本的预处理方法、步骤及注意事项。
9.4明确样本检测的操作步骤。
9.5校准:校准品的使用方法、注意事项、校准曲线的绘制方法。对需专用仪器的产品,应注明推荐的仪器校准周期。
9.6质量控制:质控品的使用方法、对质控结果的必要解释以及推荐的质控周期等。
9.7结果计算:对于手工/半自动仪器,说明校准曲线拟合方式及结果计算方法。
10.【参考区间】
应按照不同性别及女性生理周期,分别说明常用样本类型的参考区间,并简要说明参考区间的确定方法。建议注明“由于地理、人种、性别和年龄等差异,建议各实验室建立自己的参考区间”。
11.【检验结果的解释】
11.1应对所有可能出现的结果进行合理的解释。
11.2明确有可能存在引起样本浓度升高及降低因素,并说明在何种条件下需要进行确认试验,以及在确认试验时,对待测样本可能采取的优化条件等进行详述。
11.3如样本浓度超出线性范围后,若申请人声称样本可可稀释后检测,应明确样本最大可稀释倍数及稀释液种类。
12.【检验方法局限性】至少应包括以下内容:
12.1本试剂的检测结果仅供参考,不能单独作为确诊或排除病例的依据,对患者的临床管理应结合其症状/体征、病史、其他实验室检查及治疗反应等情况综合考虑。
12.2干扰物质及钩状效应(如适用)对检测结果的影响。明确干扰物对测定的影响,同时列出干扰物的具体浓度,不应使用模糊的描述方式。明示出现钩状效应时促卵泡生成素的最低浓度,或浓度达到一定数值时未发生钩状效应。
13.【产品性能指标】详述以下性能指标:
至少应包括:检出限、线性、准确度、精密度(批内精密度、批间精密度)、特异性。
14.【注意事项】应至少包括以下内容:
14.1如使用冰箱中冷藏保存的检测试剂建议检测前应从冰箱内取出,恢复至室温再打开使用,否则会影响检测结果。
14.2有关试验操作、样本保存及处理等其他注意事项。
14.3采用不同厂家及不同方法学的试剂检测所得结果不应直接相互比较,以免造成错误的医学解释,建议实验室在发给临床医生的检测报告中注明所用试剂特征(如参考区间或方法学)。
14.4有关人源组分(如有)的警告,如:试剂内质控品或其他可能含有人源物质的组分,虽已经通过了HBsAg、HIV1/2-Ab、HCV-Ab等项目的检测,但截至目前,没有任何一项检测可以确保绝对安全,故仍应将这些组分作为潜在传染源对待。提示对于潜在传染源的处理方式。
14.5对所有样本和反应废弃物都视为传染源进行处理。
14.6对于动物源性组分,应给出具有潜在感染性的警告。
三、审查关注点
(一)技术要求中性能指标的设定及检验方法是否符合相关行业标准的要求;技术要求的格式是否符合《医疗器械产品技术要求编写指导原则》(国家食品药品监督管理总局通告2014年第9号)的相关规定。
(二)FSH预期值呈现性别、女性不同生理周期差异,在参考区间的确立/验证过程中是否予以体现,样本生理周期确定的依据是否科学合理。
(三)试剂(盒)的稳定性研究方法是否合理,稳定性结论是否和说明书声称一致。
(四)FSH被测物质在体内有同功异构结构,临床试验对比试剂尽可能选择与考核试剂具有相同溯源性的。临床试验采用的样本类型及病例是否满足试剂(盒)声称的预期用途,样本量及临床研究单位的选择、统计方法及研究结果、临床方案及报告撰写的格式等是否符合《体外诊断试剂临床试验技术指导原则》(国家食品药品监督管理总局通告2014年第16号)对相关内容的规定。
(五)由于促卵泡生成素与促黄体生成素(LH)、促甲状腺激素(TSH)、人绒毛膜促性腺激素(HCG)结构类似,建议临床试验过程中可适当入组一些早孕及甲减等疾病的样本。
(六)说明书中预期用途、储存条件及有效期、检验方法、参考区间、产品性能指标等描述应分别与临床研究资料、稳定性研究资料、参考区间研究资料、分析性能评估资料的研究结论相一致。
(七)定量荧光免疫层析的产品可根据产品方法学特点选取适宜的试验方法进行试验。
四、参考文献
(一)冯仁丰,《临床检验质量管理技术基础》,第二版,上海科学技术文献出版社,2007年4月
(二)尚红,王毓三,申子瑜.《全国临床检验操作规程》,第四版,人民卫生出版社,2015年3月第1版
(三)How to Define and Determine Reference Intervals in the Clinical Laboratory;Approved Guideline,Second Edition 2000,CLSI/NCCLS C28-A2
(四)Method Comparison And Bias Estimation Using Patient Samples;Approved Guideline,Second Edition 2002,CLSI/NCCLS EP9-A2
五、编制单位
天津市医疗器械技术审评中心。

站点声明
本网站所提供的信息仅供参考之用,并不代表本网赞同其观点,也不代表本网对其真实性负责。图片版权归原作者所有,如有侵权请联系我们,我们立刻删除。如有关于作品内容、版权或其它问题请于作品发表后的30日内与本站联系,本网将迅速给您回应并做相关处理。
郑州思途医疗科技有限公司专注于医疗器械产品政策与法规规事务服务,提供产品注册备案申报代理、临床试验、体系建立辅导、分类界定、申请创新办理服务。
行业资讯
知识分享






豫公网安备 41010202003160号