血液浓缩器注册技术审查指导原则(2018年第3号)
来源:医疗器械注册代办 发布日期:2018-01-10 阅读量:次
附件:血液浓缩器注册技术审查指导原则(2018年第3号).doc
血液浓缩器注册技术审查指导原则
本指导原则旨在给出血液浓缩器产品注册具有指导意义的指南性文件,一方面有利于监管部门对血液浓缩器上市前的安全性和有效性进行准确、高效的评价,另一方面有利于指导企业规范产品的研究和生产。
本指导原则系对血液浓缩器的一般要求,生产企业应依据具体产品的特性对注册申报资料的内容进行充实和细化。生产企业还应依据具体产品的特性确定其中的具体内容是否适用,若不适用,需详细阐述其理由及相应的科学依据。
本指导原则是对生产企业和审查人员的指导性文件,但不包括注册审批所涉及的行政事项,亦不作为法规强制执行,如果有能够满足相关法规要求的其他方法,也可以采用,但是需要提供详细的研究资料和验证资料。应在遵循相关法规的前提下使用本指导原则。
本指导原则是在现行法规和标准体系以及当前认知水平下制订的,随着法规和标准的不断完善,以及科学技术的不断发展,本指导原则相关内容也将进行适时的调整。
一、适用范围
本指导原则所涉及的是体外循环过程中使用的滤过型中空纤维制成的血液浓缩器,这种中空纤维膜上充满微孔,通常由合成高分子材料制成。血液通过中空纤维时,在两侧压力梯度作用下产生滤过作用,使血液中水分、电解质和可以通过微孔的中、小分子溶质经微孔输送至中空纤维外,从而提高血细胞及中大分子溶质在血液中的浓度,达到血液浓缩的效果。本指导原则适用于体外循环过程中使用的中空纤维制成的血液浓缩器,通过滤过性能发挥血液浓缩作用,以无菌、无热原状态提供,仅一次性使用。
二、注册申报资料要求
(一)综述资料
1.概述
产品名称应符合《医疗器械通用名称命名规则》(国家食品药品监督管理总局令第19号)及有关规定。按照第三类医疗器械管理。
2.产品描述
描述血液浓缩器工作原理、结构组成、原材料,以及区别于其他同类产品的特征等内容;必要时提供图示说明。
3.型号规格
应当明确各型号规格的区别,对于各种型号规格的结构组成、功能、特征等方面内容应加以具体描述。
4.包装说明
提供有关血液浓缩器包装相关的信息,特别应当仔细说明与灭菌方法相适应的最初包装的信息与资料。
5.适用范围和禁忌症
(1)适用范围。
(2)预期使用环境。
(3)适用人群:注明不同型号产品推荐的适用患者体重范围。
(4)禁忌症(如适用)。
6.参考的同类产品或前代产品的情况(如有)
申请人应详细说明同类或前代产品国内外研究及临床使用情况。描述本次申报器械与已上市器械(包括本企业已上市同类产品或其他企业已上市同类产品)的相同点和不同点,比较的项目宜包括产品设计、适用范围、工作原理、结构组成、原材料、灭菌方式、性能指标、有效期等内容,建议以列表方式列出。对于同类产品,应当说明选择其作为研发参考的原因。
7.原材料控制
血液浓缩器原材料不得人为添加已列入相关法规及指令禁止的或未经毒理学评估的物质,常规使用过程中不得对人体产生有害影响。
提交血液浓缩器所有组件使用的全部组成材料(包括主材及其所有辅材)的化学名称、商品名/材料代号、组成比例、供应商名称、符合的标准等基本信息。应明确每种原材料,包括添加剂、粘结剂及其他成分、使用量等。建议提供原材料生物学性能符合GB/T 16886.1《医疗器械生物学评价第1部分:风险管理过程中的评价与试验》与循环血液接触要求的评价报告。对于首次用于血液浓缩器的新材料,应提供其适用人体预期使用部位的相关研究资料。
原材料(含外购组件)应具有稳定的供货渠道,提供原材料(含外购组件)生产厂家的资质证明及外购协议。对于生产企业自己研制生产的原材料粒料,应提供详细的配方研制报告,以及符合的相应标准。原材料常见标准如YY/T 0242《医用输液、输血、注射器具用聚丙烯专用料》、YY/T 0114《医用输液、输血、注射器具用聚乙烯专用料》、YY/T 0806《医用输液、输血、注射及其他医疗器械用聚碳酸酯专用料》等。如果生产企业使用的是外购材料,则应要求供方提交原材料标准和检测文件,如符合上述原材料标准的检测报告。同时提供生产企业原材料验收标准和报告。
(二)研究资料
从技术层面论述申报产品技术特征、生产工艺、灭菌工艺研究、有效期和包装研究等内容。至少应包含但不限于以下内容:
1.产品性能研究
(1)设计特征
应列明血液浓缩器各部件的名称,结构和功能,提供图样(单个部件与总装图),内容应足够详尽。提交各部件功能与实现功能的工作原理、途径与技术指标的制定与验证的详细描述。如产品具有特殊结构、组件、功能等,应提供相应结构特征、参数和性能分析,以及针对性设计和验证的内容。
血液浓缩器在各年龄段人群均需使用,因此它的设计验证建议包括对不同体重适用人群生理特点的分析与验证,以及针对性设计输出的内容。列出产品部件所使用全部材料(包括助剂、粘合剂、催化剂等)名称,一般包括:每个材料的通用名称与准确的化学名称、分子量及其分布、选用材料商品名/材料代号、使用时材料组成比例。有机高分子材料应列出其分子结构式,金属材料应列出其全部金属元素名称、比例及其牌号。无机材料列明结构式、结晶状况等信息。
(2)物理特性
①血液浓缩器各部件外观、尺寸、机械性能、血液和滤过液接口、各部件连接牢固性等指标。所有组件应具有各自性能要求。如包含特殊组件、结构和功能等,应规定组件、结构的尺寸、性能要求。
②使用特性
筛选系数、超滤率、血室容量、血室压力降,以及流量范围、跨膜压差等指标。建议观察血细胞破坏的情况。
③涂层特性
如产品带有涂层,应补充涂层相应要求,建议参考YY/T 1492《心肺转流系统表面涂层产品通用要求》提供涂层成分、性能特性、覆盖度、稳定性和安全性评价等要求和支持性文件。
(3)化学性能要求
金属离子、化学物残留(如适用)、紫外吸光度、还原物质、酸碱度、蒸发残渣等,环氧乙烷灭菌产品需对环氧乙烷及二氯乙醇残留量进行监控;
(4)物质溶出检测
血液浓缩器产品可能会包含各种助剂、溶剂、特殊原材料的化学添加物、粘合剂等物质。这些物质具有一定潜在毒性或限量使用。为保证产品使用安全性,建议选择相应物质用量最大的型号,采用适宜浸提溶液(如血液替代溶剂、血液等),模拟临床最严格使用条件(如参考YY 0053《血液透析及相关治疗 血液透析器、血液透析滤过器、血液滤过器和血液浓缩器》化学性能检验液制备规定方法,200ml/min流速和产品宣称临床使用最大血液流速下,37℃循环6小时),检测上述物质溶出总量。提供人体血液接触这些物质的毒性分析、安全限值和来源文件,并对不同体重适用人群的生理特点分别进行安全性评价。
2.生物相容性评价研究
应对血液浓缩器与人体直接或间接接触材料的生物相容性进行评价。可参考GB/T 16886.1要求提供生物学评价报告。
3.生物安全性研究
如血液浓缩器含有动物源性材料或生物活性物质等成分,如生物涂层。应当提供相关材料及生物活性物质的生物安全性研究资料等文件。包括说明组织、细胞和材料的获取、加工、保存、测试和处理过程;阐述来源并描述生产过程中对病毒、其他病原体及免疫原性物质去除或灭活方法的验证试验;工艺验证的简要总结。
如血液浓缩器包含药物成分物质,应提供药物在生产国或我国药品注册证明文件,明确药物来源和质量要求,以保证药物质量的稳定性。提供药物药理学、药学、毒理学、临床不良反应、与高分子材料结合后对材料和药物双向影响等药械组合产品的研究资料,以证明产品安全性。
4.灭菌工艺研究
明确产品灭菌方法的选择理由,明确灭菌工艺和无菌保证水平,并提供灭菌确认报告。灭菌过程还应开展以下方面的确认:产品与灭菌方法的适应性、包装与灭菌工艺适应性、灭菌有效期验证资料、毒性物质残留量研究资料。
5.有效期和包装研究
有效期验证项目包括产品使用性能和包装完整性。可采用加速老化或实时老化的研究。实时老化的研究,应从产品定型后即开始进行。加速老化研究的具体要求可参考ASTM F1980 《医疗装置用无菌阻隔系统加速老化的标准指南》和YY/T 0681.1《无菌医疗器械包装试验方法第1部分:加速老化试验指南》。提交包装验证报告,如:包装材料的物理化学、毒理学特性;包装材料与产品的适应性;包装材料与成型和密封过程的适应性;包装材料所能提供的物理、化学和微生物屏障保护;包装材料与使用者使用时的要求(如无菌开启)的适应性;包装材料与标签系统的适应性;包装材料与贮存运输过程的适应性等。
6.临床前动物试验
如需要,建议提供动物试验的完整资料,应包括:
(1)动物试验目的、模型选择的依据;
(2)研究中使用的治疗参数与建议用于人体治疗参数的比较;
(3)试验方案、检验方法和设备;
(4)记录及结果(包括原始数据样本);
(5)结论。
(三)生产制造信息
应包含产品设计过程和生产工艺过程资料,特别是上述血液浓缩器的性能指标、指标的选择依据与验证资料,建议针对不同体重适用人群的生理特点提供选择依据和验证资料。可采用流程图的形式概述设计过程和生产过程。
详细说明产品生产工艺过程及其确定的依据、质量控制标准及其可靠性论证;确认关键工艺点并阐明其对产品物理性能、化学性能、生物性能的影响;确认生产工艺的稳定性。对生产加工过程使用的所有辅剂、助剂、粘合剂等添加剂均应说明使用剂量、对残留量的控制措施和接受标准,以及检验报告和安全性评价报告。有多个研制、生产场地,应当概述每个研制、生产场地的实际情况。
(四)临床试验资料
如开展临床试验,应按照国家食品药品监督管理总局相关规定,按照《医疗器械临床试验质量管理规范》(国家食品药品监督管理总局中华人民共和国国家卫生和计生委员会令第25号)的要求实施。申报资料中应提交伦理委员会批件、试验方案和临床试验报告等文件,建议提交统计分析报告。
临床试验根据产品申报用途、试验目的考虑纳入病种和严重程度,在试验方案中应详细说明入选/排除标准以及中止试验标准。为保证在各年龄段使用者安全、有效地应用,建议根据血液浓缩器适用范围所规定使用者体重>40kg、≤40kg分别进行临床试验。对于申报上述不同使用者血液浓缩器的生产企业,从安全有效性角度考虑,建议先完成使用者体重>40kg的血液浓缩器申报注册。待使用者体重>40kg产品上市以后,再验证使用者体重≤40kg的血液浓缩器。使用者体重>40kg、≤40kg产品临床试验入选和排除标准、临床观察指标、评价标准均应符合2-3条款规定。
1.临床试验基本要求
试验方案应明确研究目的、研究人群、观察指标、对照选择及研究设计类型等。多中心临床试验由多位研究者按照同一试验方案在不同的临床试验机构中同期进行。
试验品和对照品选择原则
申报产品选择试验品时,建议选择原材料和组件最全,使用性能可以覆盖本注册单元其他产品,且经过全项目注册检测的型号进行临床试验。
进行随机对照试验,应详细描述对照品的规格型号、生产厂家和批号、对照品选择依据等。对照品应选择已经获得有效医疗器械注册证、有确切疗效和安全性的产品。对照品的原材料、性能结构、超滤性能参数、适用范围和使用方式等应尽量与试验品一致。试验组和对照组的试验条件、方法步骤、临床观察项目、评价依据等应相同。两组试验对象按随机原则分配。
2.入选和排除标准
根据研究产品的预期功效确定目标人群,制定具体的入选排除标准。建议入选标准:各种病因引起需要进行体外循环手术且术中需使用血液浓缩器患者。
排除标准:体外循环手术中心脏不停搏者;遗传代谢病患者;严重感染,同时已有癌症等恶性疾病者;严重肝、肾功能不全者;血液疾病或精神疾病患者;研究者认为不适合入组者。
3.临床观察指标
(1)一般观察指标
①生命体征:收缩压、舒张压、体温、呼吸和心率。
②术前血常规:红细胞比容、血红蛋白浓度、血小板计数、红细胞计数、白细胞计数。
③术前血生化:总胆固醇、肌酐、谷丙转氨酶、谷草转氨酶、尿素氮、总蛋白、白蛋白等。
④各时点血红蛋白浓度测定:麻醉给肝素后5分钟、CPB中首次停搏液灌注后5分钟、鱼精蛋白中和后5分钟。
⑤血液浓缩器一般性能:外观透明度和光洁度,组件是否完整、与其他配用器械连接是否方便、有无接口漏液漏血、有无连接脱落、液体流动是否通畅等。如产品宣称具有特殊功能,或者包含特殊组件、结构,建议将其列入观察指标中。
⑥血液浓缩器基本性能:超滤性能等能否满足临床使用要求。
(2)主要有效性评价指标
超滤速率(ml/min):表示在一定条件下,单位时间内由血液浓缩器滤出的滤液量。即是指超滤时流经血液浓缩器的血流速度、跨膜压差和红细胞比容等在一致的条件下,由滤出总液量(ml)除以超滤总时间(min)所得数值。超滤总时间指进行超滤的总时间;滤出总液量指超滤的总滤液量。
(3)安全性指标
①超滤过程观察血液浓缩器排液端有无变红;
②手术过程中观察壳体有无破裂、渗血、滤器堵塞等。
③体外循环前后分别测量血浆游离血红蛋白,手术前及术后48小时内分别检测患者肝肾功能(总胆固醇、肌酐、尿素氮、谷丙转氨酶、谷草转氨酶、总蛋白、白蛋白等)。
④受试者术后有无不良反应等。
4.样本量确定依据
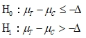
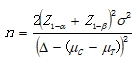
样本量根据受试产品特性、临床试验设计类型、主要有效性评价指标等因素来确定。需详细写明样本量估算采用的软件或公式、公式中所有参数、估计值及其来源,还应结合临床实际情况,考虑试验对象的可能脱落率等因素。对于非劣效试验设计,应由临床专家和统计学家事先给出具有临床意义的非劣效界值。本产品主要有效性评价指标为超滤速率。
以下举例内容仅供参考:如果某被试产品采用非劣效试验设计,由于超滤速率为高优指标,故试验对应的研究假设为:

所使用的样本量计算公式为:

其中:
(1)uT和uC分别为试验组和对照组预期超滤速率,通常,uT≤uC。
(2)▲为非劣效界值,且▲>0;
(3)为两组疗效指标的合并标准差;
(4)Z1-a、Z1-b代表标准正态分布分位数,α取单侧0.025,β取0.2;
以上样本量计算公式仅适用于试验组与对照组样本量比例为1:1的情况。
针对不同受试者体重进行样本量估计如下:
(1)受试者体重>40kg的血液浓缩器,根据前期探索性研究结果,假设对照组超滤速率为110ml/min,试验组超滤速率水平与对照组相当,两组超滤速率的合并标准差为22ml/min,两组产品超滤速率最大差距不超过10ml/min时认为试验组产品非劣于对照组产品,在检验显著性水平取单侧0.025,把握度80%时,每组需要入选76例受试者(试验组和对照组共计152例);考虑10%脱落率,每组需要入选85例受试者(试验组和对照组共计170例)。
(2)受试者体重≤40kg的血液浓缩器,根据前期探索性研究结果,假设对照组超滤速率为28ml/min,试验组超滤速率水平与对照组相当,两组超滤速率合并标准差为10ml/min,两组产品超滤速率最大差距不超过6ml/min时认为试验组产品非劣于对照组产品,在检验显著性水平取单侧0.025,把握度80%时,每组需要入选45例受试者(试验组和对照组共计90例);考虑10%脱落率,每组应入选50例受试者(试验组和对照组共计100例)。
病例数应尽量在各体重组间(体重<10kg,10kg≤体重<20kg,20kg≤体重<30kg,30kg≤体重≤40kg)均衡分布,建议每组不得少于10例受试者。
为了保证受试者的安全性和数据的完整性,建议采用中央随机系统,以备监管部门跟踪稽查全部参与试验病例。
5.临床试验统计处理方法
数据分析时应考虑数据完整性,所有签署知情同意并使用了受试产品的试验对象必须纳入最终的统计分析。分析受试者退出或脱落的严重程度和产生原因。数据剔除或偏倚数据的处理必须有科学依据和详细说明,并应进行灵敏度分析,以评价其对研究结果的影响。
数据分析应采用国内外公认的统计分析方法。试验方案应明确统计检验的类型、检验假设、判定疗效有临床意义的界值(非劣效界值)等,界值的确定应有依据。
描述性分析:计数资料采用频数和构成比描述;计量资料采用均数、标准差、最大值、最小值、中位数、第25及第75分位数描述。
疗效分析时不能仅报告p值,还应给出组间疗效的差异及其95%置信区间的估计,并作统计学检验。
安全性评价:按试验组和对照组分别描述治疗前正常、治疗后异常例数及所占比例。不良事件用不良事件发生例数及发生率进行描述,并对此比例进行χ2检验或Fisher精确概率法检验。应对所有试验过程中发生的不良事件进行评价,并描述其种类、发生频率以及与被验证器械的关系。
6.统计分析结果
统计分析应基于所有临床试验数据分析得出,并用于撰写临床试验报告。统计分析结果应至少包括但不限于临床试验完成情况、人群基线描述、疗效/效果评价及安全性评价等。对所有试验对象进行安全性评价分析,不能遗漏任何不良事件(包括试验前正常、试验后异常并有临床意义的实验室指标等)。脱落病例应列表逐例陈述脱落时间、原因等。主要疗效指标缺失时按最差值法(WOCF)进行填补。
7.临床报告
提交各分中心临床试验小结。建议根据统计分析结果撰写并出具临床试验报告。其中应提供患者一般资料(性别、年龄、体重等)。临床报告内容包括:试验对象资料、试验方法、评价方法和标准、试验结果和结论、副反应、不良事件、并发症及其处理、适用范围、禁忌症和注意事项、存在问题及改进意见等。
临床试验报告应与研究方案保持一致。报告所有不良事件发生时间、原因、具体表现、后果及与试验用器械的关系,对于所采取的处理措施需予以明确。无论是预期还是非预期不良事件,都应如实记录和报告。对因不良事件而中止研究以及出现重度或严重不良事件的病例,加以特别的注明。临床报告中的统计分析结果建议经统计学专家审核确认。
(五)产品风险分析资料
应包含风险分析、风险评价、风险控制措施的实施和验证结果、剩余风险可接受性评定等文件。
可参考YY/T 0316《医疗器械风险管理对医疗器械的应用》制订文件。生产企业要成立风险管理小组,主要负责人担任组长。风险管理活动要贯穿产品设计、试生产、量产、上市后使用及产品处理的整个生命周期。要体现生产企业风险管理活动计划的完整性,尤其上市管理的风险分析与评价过程。对于上市前风险管理中尚未认知的风险,应在上市后开展信息收集,一旦发现异常及时进行风险评价,采取控制措施,更新风险管理文件。
剩余风险分析时,要注意风险控制措施新引入风险能转化为可接受风险,方能认为风险受控。血液浓缩器必须进行风险与收益分析,收益大于风险时方可接受。同时提供血液浓缩器产品上市前风险管理报告,此报告旨在说明并承诺:
- 风险管理计划已被正确地实施;
- 综合剩余风险是可接受的;
- 已建立产品上市后的追溯与临床应用信息收集制度。
应随风险管理报告一并附上包括风险分析、风险评价、风险控制概述管理资料。至少应包括:
1.产品安全特征清单;
2.产品可预见危险(源)及危险(源)分析清单(说明危险(源)、可预见事件序列、危险情况和可能发生的伤害之间的关系);
3.风险评价、风险控制措施以及剩余风险评价汇总表。
对于风险分析和管理概述,应包括一份风险总结,以及如何将风险控制在可接受程度的内容,同时附有相应的验证报告。
(六)产品技术要求
应当按照《医疗器械产品技术要求编写指导原则》(国家食品药品监督管理总局通告2014年第9号)的规定编制产品技术要求,技术指标应当不低于国家标准、行业标准要求,引用标准应当为现行有效版本。对企业宣称的所有技术参数和功能,应在产品技术要求中予以规定。
血液浓缩器产品的产品技术要求应参照YY0053等标准,以及产品设计验证结果与临床应用相关报告与文献来制定。申报产品型号、规格划分尽量采用国家标准、行业标准的表示方法,所有产品的组件、材料对应关系应明确,不用“系列”、“等”含糊用词。
1.产品型号/规格及其划分说明
提供产品规格型号、结构组成示意图,列明各部件名称及制造材料(准确化学名称、金属牌号及常用名)、最大使用正负压力、灭菌方法、有效期、包装材料等要求。应明确各型号产品之间的区别。同时规定血液浓缩器原材料不得人为添加已列入相关法规及指令禁止的或未经毒理学评估的物质。
2.性能指标
(1)物理特性
①血液浓缩器尺寸、外观、结构密合性、血室密合性、接头、有效期等指标。如产品带有涂层,建议补充涂层相应要求,如成分和比例信息、性能特性、覆盖度、稳定性等规定。如包含特殊组件、结构和功能,应规定组件、结构的尺寸、性能要求、特殊功能的规定和检测方法。
②使用特性
筛选系数、超滤率、血室容量、血室压力降等。
(2)化学性能要求
血液浓缩器可选择金属离子、化学物残留(如适用)、紫外吸光度、还原物质、酸碱度、蒸发残渣等项目,环氧乙烷灭菌产品应有环氧乙烷残留量规定。
(3)其他要求
根据血液浓缩器与人体接触方式及时间等,规定无菌、细菌内毒素、热原等其他要求。
3.检验方法
有关行业标准、国家标准规定各个性能技术指标的检测方法,应作为各性能指标条款对应的检测方法。
4.术语(如适用)
三、注册单元划分原则和检测要求
注册单元划分原则至少包括:以血液浓缩器推荐使用者体重>40kg、≤40kg为界,区分不同注册单元,分别提供注册申报资料。产品原材料、使用性能、关键或特殊生产工艺(包括灭菌工艺)等方面有差异的产品,分为不同注册单元,提供各自完整的注册申报资料。
典型性产品选择包含全部原材料和组件、结构最复杂、风险最高、使用性能可以覆盖本注册单元其他型号的产品,进行全项目注册检测。同一注册单元产品,建议至少对膜面积最大的型号进行全项目检测,同时再检测膜面积最小型号的物理性能。所有组件均应进行注册检测,特别是具有特殊结构、性能的组件。完成典型性产品检测后,同一注册单元其他型号可进行差异性检测。
四、产品说明书和最小销售单元的标签样稿
血液浓缩器产品说明书、标签和包装标识应符合《医疗器械说明书和标签管理规定》(国家食品药品监督管理总局令第6号)、YY0053等适用标准的要求。说明书注明适用范围,包含血液浓缩器适用人群的说明,列出不同型号产品推荐的适用患者体重范围。此外,还应注明最大使用正负压力、禁忌症、注意事项、灭菌方式、有效期、血液流向标识等添加蓝色文字。所有信息与临床评价结论和国家出台的规范性文件一致。
五、参考文献
1.《医疗器械监督管理条例》(中华人民共和国国务院令第680号)
2.《医疗器械注册管理办法》(国家食品药品监督管理总局令第4号)
3.《医疗器械说明书和标签管理规定》(国家食品药品监督管理总局令第6号)
4.《关于发布医疗器械临床评价技术指导原则的通告》(国家食品药品监督管理总局通告2015年第14号)
5.《关于发布医疗器械产品技术要求编写指导原则的通告》(国家食品药品监督管理总局通告2014年第9号)
6.《关于公布医疗器械注册申报资料要求和批准证明文件格式的公告》(国家食品药品监督管理总局公告2014年第43号)
7.《医疗器械通用名称命名规则》(国家食品药品监督管理总局令第19号)
8.YY 0053-2016《血液透析及相关治疗 血液透析器、血液透析滤过器、血液滤过器和血液浓缩器》
9.JIS T3250:2013《血液透析器,血液透析过滤器,血液过滤器及血液浓缩器》(日本标准协会)
10.《血液浓缩器审批标准的技术标准》(日本厚生劳动省,药食发0301第8号,2013年)
11.YY/T 0316-2016《医疗器械 风险管理对医疗器械的应用》
12.《医疗器械临床试验质量管理规范》(国家食品药品监督管理总局、中华人民共和国国家卫生和计生委员会令第25号)
六、起草单位
国家食品药品监督管理总局医疗器械技术审评中心。

站点声明
本网站所提供的信息仅供参考之用,并不代表本网赞同其观点,也不代表本网对其真实性负责。图片版权归原作者所有,如有侵权请联系我们,我们立刻删除。如有关于作品内容、版权或其它问题请于作品发表后的30日内与本站联系,本网将迅速给您回应并做相关处理。
郑州思途医疗科技有限公司专注于医疗器械产品政策与法规规事务服务,提供产品注册备案申报代理、临床试验、体系建立辅导、分类界定、申请创新办理服务。
行业资讯
知识分享






豫公网安备 41010202003160号