血液透析用水处理设备注册审查指导原则(2024年修订版)(2024年第19号)
附件:血液透析用水处理设备注册审查指导原则(2024年修订版)(2024年第19号).doc血液透析用水处理设备注册审查指导原则(2024年修订版)本指导原则旨在指导注册申请人对血液透析用水处理设备注册申报资料的准备及撰写,同时也为技术审评部门提供参考。本指导原则是对血液透析用水处理设备的一般要求,注册申请人依据产品的具体特性确定其中内容是否适用。若不适用,要具体阐述理由及相应的科学依据,并依据产
来源:医疗器械注册代办 发布日期:2014-06-04 阅读量:次
附件:植入式心脏电极导线产品注册技术审查指导原则(2014年第10号).doc
本指导原则是对于植入式心脏电极导线的一般性要求,制造商应依据其具体产品的特性对注册资料内容进行充实和细化,并依据具体产品的特性判断指导原则中的具体内容是否适用。
用于在特殊临床情况下使用的植入式心脏电极导线,可以不完全适用本指导原则的要求;但是制造商需要在技术文件中说明产品的特征及不适用的理由,并提供相应的证明资料证明其安全和有效性(包括非临床试验及临床试验等相关资料)。
本指导原则是对制造商和审查人员的指导性文件,但不包括审评审批所涉及的行政事项,亦不作为法规强制执行,应在遵循相关法规的前提下使用本指导原则。
如果有能够满足相关法规要求的其他方法,也可以采用,但是需要提供详细的研究资料和验证资料。应在遵循相关法规的前提下使用本指导原则。
本指导原则是在现行法规和标准体系以及当前认知水平下制定,随着法规和标准的不断完善,以及科学技术的不断发展,相关内容也将适时进行调整。
在本指导原则中将植入式心脏电极导线简称为电极导线;将植入式左心室电极导线简称为左室电极导线。
本指导原则适用于同匹配的植入式脉冲发生器连接、并在心腔内提供起搏和感知的电极导线的注册申报。指导原则中提及的电极导线不包括适配器部分。被动固定电极导线用于右心耳、右心室心尖部及冠状窦的起搏和感知;主动固定电极导线用于右心房/室任何部位起搏和感知;左室电极导线适用于通过心脏静脉途径的左心室外膜起搏和感知。本指导原则不包括除颤电极导线和心外电极导线。
(一)技术资料
制造商应提供电极导线的技术说明文件,至少包括以下对产品技术特征的说明。
对同一注册单元申报的多个产品应提交不同型号技术特征的对比表,说明产品的特点。
1. 预期用途:适用于心脏的起搏和感知;被动固定电极导线用于右心耳、右心室心尖部及冠状窦的起搏和感知;主动固定电极导线用于右心房/室任何部位起搏和感知;左室电极导线适用于通过心脏静脉途径的左心室外膜起搏和感知。
2. 对电极导线的结构、特性的描述:
2.1电极导线结构图:包括详细结构(剖面图、正视图、侧视图)、尺寸、各部分名称;
2.2电极导线性状:如直型、J型、S型、螺旋型等,电极数目,电极接口类型(IS-1,IS-4等),电极头直径、环状电极直径、电极间距、电极环表面积,电极长度、植入方式、固定方式等。主动电极导线:应描述主动固定的方法,提供工作原理图及操作注意事项。
2.3其他附件:如静脉拉钩、固定套筒、塑形钢丝(stylet)、操作扳手、塑形钢丝夹、塑形钢丝导入器、电极头保护套等。并应给出这些附件的尺寸及示意图。塑形钢丝应标明识别方式(软硬度)、直径、材料。
2.4含药组件:若电极导线含有药物,且该药物或该药物的衍生物输送到患者体内(即使该药物为电极导线的整体部分),则该药物应是安全的和对该电极导线的功能是有利的;并且该电极导线在设计和制造上均应与药物兼容。应提交药物及基质材料等,药物剂量及释放特征,“原料药物”和“含药组件”的相关研究资料和/或文献资料;及电极导线与药物兼容的设计验证资料。
原料药物技术资料中,应明确药物来源和执行标准,并包括所使用的药物定性分析和定量检查的相关资料。
含药组件技术资料中,应明确药物剂量选择依据,基质材料的来源于标准,基质材料与药物的配比依据,药物与基质的混合制备工艺,释放度(洗脱曲线)、含药量、残留物等药物产品质量控制的研究资料(包括方法和数据),含药组件稳定性考察的试验资料和/或文献资料。
3. 对电极导线的所有材料进行描述,包括植入材料和非植入材料、附件;如电极头、电极环、电极导线绝缘层(涂层)、固定套筒、塑形钢丝、静脉拉钩等。提供材料的种类、成分和质量控制等信息。
3.1制造商应提交对植入材料信息的详细说明,应明确植入体各组成部分的所有组成材料的基本信息:通用化学名称、化学结构式/分子式、分子量及分布(如适用)、商品名/材料代号(牌号)等。应提交该材料符合长期植入要求的支持性资料。
3.2应明确各种材料的来源、成分及质量标准。对所选用的每种原材料都应当能够实施验证,并提供验证资料。若原材料外购,应保证原材料质量可控。若材料为自行合成,应阐述材料生产过程中的质量控制标准并论证其可靠性,同时提交相关的验证报告。
3.3涂层(如有):应按基质材料管理,明确材料、与绝缘硅胶的结合方式、相互影响及临床意义。
3.4电极导线连接器的密封性:若采用符合国际标准,如IS-4,IS-1标准的连接器,制造商应提供相关验证资料以证明符合标准中规定的全部性能要求。若采用非国际标准要求的连接器,制造商应说明连接器密封的原理,提供模拟实际使用条件下对连接器密封性和防腐蚀性的验证资料。
3.5其他要求:对患者热伤害的防护、对电极导线引起的非预期作用的防护、对机械力的防护应提交相关的文件资料证明产品符合安全要求。
4. 产品质量说明文件:
4.1说明电极导线的货架有效期。
4.2提供产品包装及灭菌工艺的技术信息。
(二)风险管理
风险管理要求应贯穿于电极导线的整个生命周期,包括产品上市前的研制阶段和上市后的阶段。应对产品可能的危害和风险进行估计和评价;有针对性地实施降低风险的技术和管理方面的措施,并对所有剩余风险进行客观评价,达到可接受的水平并应在产品附机文件中告知。上市后制造商对风险管理程序及内容进行的任何更改都应形成文件。制造商应参照YY/T 0316-2008建立电极导线风险管理文档。
电极导线相关的具体风险管理内容见附录I。
(三)注册产品标准
我国现行有效的电极导线的标准是YY/T 0492-2004《植入式心脏起搏电极导管》、YY/T 0491-2004《心脏起搏器第三部分植入式心脏起搏用的小截面连接器》,鉴于ISO 14708.1-2000和ISO 14708.2-2005正在转化中,本指导原则编制时考虑了以上两个标准。注册产品标准应当包括以下内容:
1. 电极物理特性和结构的描述:包括长度、电极头表面积、经静脉电极导线的插入直径(不包括连接器尾端)和适用的导引鞘尺寸、电极(双极或多极心内膜电极导线)之间的距离(如适用),插入组织的最大深度、电极导线的标志、连接器的几何形状(长度和直径),所有指示和标记;结构图应包括剖面图、正视图、侧视图及导线体结合方式。
2. 电极直接接触人体的植入材料的说明,包括涂层(若有)。
3. 药物释放装置的结构图、尺寸、材料、定性、定量及释放特性要求。
4. 性能要求
4.1电极导线的表面物理特性。不应有导致超出植入手术本身以外的反应过度或发炎的表面特征,比如不光滑面(锐角或锐边)等,或不应有电极导线正常发挥作用所必须避免的粗糙表面。
4.2连接要求。
4.3直流电阻(Ω)。
4.4绝缘性能(kΩ)。
4.5塑形钢丝的插拔性能要求。
4.6顺应性要求。
4.7热冲击试验要求。
4.8寿命模拟实验。
4.9电极导线的起搏阻抗(Ω)。
4.10电极导线的感知阻抗(Ω)。
4.11电极导线连接器。电极导线采用的IS-1连接器应符合YY/T 0491-2004《心脏起搏器第三部分植入式心脏起搏用的小截面连接器》的要求。如采用非IS-1的特殊连接器,制造商应提交对该连接器的设计参数、尺寸的详细描述,并且应引用相应标准,若无相应标准应制定对该特殊连接器的技术指标要求和试验方法。
4.12电极导线可探测性。
4.13塑形钢丝的尺寸和直径。
5. 附件
应明确所包含的附件,并给出这些附件的尺寸及示意图。
6. 化学性能要求和生物相容性
6.1化学性能
6.1.1环氧乙烷残留量;
6.1.2溶出物的化学要求:色泽、PH值变化量、蒸发残渣、还原物质、重金属、紫外吸收度;
6.1.3无菌。
6.2生物相容性
生物相容性评价应依照GB/T 16886系列标准进行。电极导线材料直接与人体组织接触。对于所有直接接触组织和/或体液的电极导线的材料应进行生物学评价。制造商应参考《关于医疗器械生物学评价和审查指南》(国食药监械〔2007〕345号)出具生物学评价报告。生物相容性评价应当对经灭菌后最终产品或代表性样品进行。具体内容见附录Ⅱ。
(四)注册单元划分原则
注册单元的划分应考虑产品功能、性能、预期用途、安全指标、主要部件、结构及其组合方式等,划分原则如下:
1. 适用的连接器结构不一样,如IS-1、IS-4、LV-1,应划分为不同的注册单元;
2. 电极个数不同,如单极、双极、多极应划分为不同的注册单元;
3. 电极导线材料不同,应划分为不同的注册单元;
4. 不同的头端设计(形状如翼状、螺旋状、锚定方式)应划分为不同的注册单元;
5. 不同的导线体内部结构应划分为不同的注册单元;
6. 左室电极导线作为单独的注册单元;
7. 不同的药物和药物释放方式应划分为不同的注册单元。
(五)检测单元划分原则
同一注册单元中应选择能涵盖其他型号的功能特点和规格参数的型号作为检测的典型型号。
(六)随机文件和包装
产品使用说明书应符合《医疗器械说明书、标签和包装标识管理规定》、YY/T 0492-2004《植入式心脏起搏电极导管》及ISO 14708.1-2000、ISO 14708.2-2005的要求。
(七)动物试验基本要求
对于新研制的电极导线,在进入人体临床试验之前进行动物试验是必要的。
注:新研制电极导线的含义:材料、内径、涂层、形状、内部结构、导线头端固定的方式等发生变化或采用新的技术、新企业研制的导线。动物试验见附录Ⅲ。
(八)临床资料
对电极导线进行的临床试验应满足《医疗器械注册管理办法》、《医疗器械临床试验规定》和《医疗器械临床试验质量管理规范》的要求。进行上市前临床试验的产品,实验室研究和动物实验验证研究应基本完成,并且结果可基本证明产品安全、有效。具体内容见附录Ⅳ。
(九)货架有效期
制造商可参考《无源植入性医疗器械货架寿命申报资料指导原则》(食药监办械函〔2011〕116号)中对植入医疗器械货架有效期的相关要求提供技术文件。
制造商在制定货架有效期的同时应考虑申报导线植入后能保证合理的临床使用时间。
制造商至少应证明在最大货架有效期时植入后,当处于随机文件中制造商公布的标称使用寿命的工作条件下,能达到其公布的标称使用寿命。
(十)上市后质量分析报告
应从以下方面着重考虑:
1. 国内植入的电极导线数量和所报告的植出和死亡的病例数量;
2. 所报告死亡病例与是否电极导线相关的情况分析;
3. 对于植出病例:应有与机械故障相关、与临床并发症相关的数据,及通过医生、患者或其他相关人员提交的关于安全有效性的数据;
4. 对于数量的要求:应包括当前分析的总的数量、正确的数量、失败的数量(应描述故障原因),以及导线整体和部分导线的故障;
5. 可能的不良事件的发生情况:如异常的电极导线的性能(包括但不限于起搏阻抗/起搏阈值升高、不夺获、不起搏)、电极导线绝缘损坏、膈神经刺激、心脏穿孔、电极导线移位、感染、导线周围血栓等。
1.《植入型心脏起搏器的适应证及起搏方式选择的建议》——中华心律失常学杂志
2. ISO 14708-1 Implants for surgery—Active implantable medical devices—Part1: General requirements for safety,marking and for information to be provided by the manufacturer
3. ISO 14708-2 Implants for surgery — Active implantable medical devices —Part 2:Cardiac pacemakers
4.《Guidance for the Submission of Research and Marketing Applications for Permanent Pacemaker Leads and for Pacemaker Lead Adaptor 510(k) Submissions》
5.《无源植入性医疗器械货架寿命申报资料指导原则》(食药监办械函〔2011〕116号)
附录I
电极导线的主要风险是导线断裂与绝缘破损,在长期应用中由于不可预期的故障发生,可能有潜在的致命的风险,必须在选材和制造过程中加以考虑。在申报注册资料中应有充分数据材料显示其抗疲劳、耐老化性能、耐磨损性。除上述重点风险外还应考虑以下方面的风险:
心脏穿孔:如导线太硬、主动电极裸露部分太长、头端电极直径过小、过尖锐会引起心肌穿孔。
电极导线脱位:L型心房被动电极塑形不佳、导线过软、翼状材料刚度不足、主动电极导线裸露部分太短或转出不足脱落。
电极头脱落:在植入过程中头端电极的焊接断裂-顶端松动甚至脱落,导致电极头与导电体丧失电连接,其后果等同于断裂。
插入困难和造成血管损伤:电极导线外表粗糙,粗细不匀有凸缘或毛刺。
起搏阈值升高:头端电极与心内膜贴靠不良或激素电极装药量不足。
感知不良:电极表面涂层质量差、结构异常(粗细、凸边缘锐利、电极导线外表粗糙)。
血管损伤:头端电极、多个环电极边缘锐利。
主动固定螺旋升角太大:固定不良造成脱位或穿孔。
左室电极导线应考虑因塑形欠佳对固定的影响。
电极不能感知:如电极环太小、表面涂层碎裂脱落。
药物电极装药量过多过少对病人影响。
医生的植入技术和病人独特的心脏结构等。
制造商应将以上(不局限于上述所列风险情况)风险情况纳入风险管理,使剩余风险和总体风险控制在可接受准则的范围内。
附录Ⅱ
1. 细胞毒性试验
根据GB/T 16886.5的试验方法要求,采用细胞培养技术测定材料或材料提取物对细胞引起的细胞溶解(细胞死亡)、细胞生长抑制和其他毒性作用。要求细胞毒性不大于I级。
2. 致敏试验
根据GB/T 16886.10的试验方法要求,采用豚鼠最大化试验评估材料的迟发性致敏反应。要求无致敏反应。
3. 植入试验
根据GB/T 16886.6的试验方法要求,用外科手术法,将最终产品或样品和阴性对照进行为期3个月的肌肉植入试验,肉眼观察和显微镜检查评价对活体组织的局部病理作用。局部反应程度应不超过阴性对照。还应该对材料的生物稳定性进行考察。
4. 遗传毒性试验
根据GB/T 16886.3的试验方法要求,采用哺乳动物和非哺乳动物的细胞培养或其他技术测定由电极材料和/或其浸提液引起的基因突变、染色体结构和数量的改变以及DNA或基因的其他毒性。结果应无遗传毒性。
5. 热原试验
根据相关标准和《中华人民共和国药典》规定的兔法进行试验,应符合无热原要求。
6. 皮内刺激试验
根据GB/T 16886.10的试验方法要求,测定材料浸提液注射皮内后的反应性。要求无皮内刺激反应。
7. 急性全身毒性试验
根据GB/T 16886.11的试验方法要求,将一定剂量的电极导线浸提液直接注入小鼠体内,在规定的时间内观察小鼠体重、运动、呼吸、死亡等情况。要求应无急性全身毒性反应。
8. 亚慢性毒性试验
根据GB/T 16886.11的试验方法要求,将一定剂量的电极导线浸提液连续直接注入动物体(小鼠或大鼠)内,在规定的时间内观察动物的亚慢性毒性反应。要求应无亚慢性全身毒性反应。
9. 血液相容性试验
9.1溶血试验
根据GB/T 16886.4的试验方法要求,测定材料在体外引起的红细胞溶解程度和游离血红蛋白。溶血率应≤5.0%。
9.2血栓形成试验
根据GB/T 16886.4的试验方法要求,并采用阴性对照或已经上市的同类产品作为对照,测定电极导线的体内血栓形成情况,电极导线的血栓形成程度应和对照相比无统计差异或优于对照。
附录Ⅲ
动物试验目的主要是评价电极导线的有效性和安全性。
对于产品中涉及的连接方式或用途发生改变的模式或特征,由动物试验可以验证设备的功能、工艺、技术参数时,可考虑进行动物试验(根据产品改变的具体情况)。
动物试验的设计应尽量接近该器械在人体中的预期用途。应植入至少每组6例以上的动物/电极导线,同时观察急性期和慢性期指标,急性期1个月,慢性期3~6个月。应选择具有代表性的产品型号,如主动固定式和被动固定式、单极和双极分别进行验证。以便于得出有效的结论。
建议与电极导线配合使用的起搏器是已经过注册批准的,如是未批准的起搏器,则试验时应考虑该起搏器对试验结果的影响。
对电极导线动物试验要求和分析评价及结论描述应包括种类、型号、尺寸、材料、基本结构等内容。
1. 研究目标
1.1电极导线阻抗测量
验证电极导线阻抗测量特性在活体环境中能按照设计工作(例如极性确认、极性配置等)。
1.2对制造商标称的电极导线功能指标进行评估。
1.3感染控制
植入过程应按照临床使用要求在无菌环境下实施。对可疑的植入部位的感染应通过对潜在病原体的培养和鉴定进行评价。
1.4电极导线植入位置验证
对植入起搏器电极的位置确认可采用影像学或心腔内及体表心电图等证明。
2. 动物选择及试验过程
2.1试验基本条件
具备外科无菌手术条件,建议采用试验用犬、猪、猴、羊等通用动物。
2.2模型制备
建议根据需要建立合适动物试验模型来满足对试验产品主要功能验证的需要。建议每个型号的电极导线试验动物应不得少于6只。以体表心电图和腔内心电图显示房室分离并持续保持即视作达到模型制备成功。模型稳定性的评价:动物实验期间,体表心电图仍稳定地表现为Ⅲ°房室传导阻滞(Ⅲ°AVB)。
2.3电极导线植入方法及时间
按照人体临床使用的电极导线植入方法进行植入,植入后观察时间3到6个月,根据试验内容及目的确定。
2.4对于已上市电极导线发生特性改变时如头端面积、极间距等,制造商可根据其改变的具体情况酌情选择试验动物,但是其得到的试验结果应能支持其新特性的临床安全有效性。
3. 试验需记录的电生理指标
电极导线的电性能指标。动物的生理指标监测及试验后电极导线外观(如变性、破损、组织粘连、血液渗入等)和植入部位的情况(如组织增生、包裹、炎症等)的观察和分析。
制造商需对取得的动物试验数据进行最终的风险分析及评价,并得出研究结论。在试验时应对试验动物使用生理参数监护仪,监测动物的生理指标。试验结束后,对取出电极导线的外观和植入部位进行观察和分析。动物心脏应被完整切离并检查是否存在任何病变和/或损伤。提供描述手术前后动物活动情况的摘要。
因电极导线的一些功能特性依赖于起搏器,故电极导线的状态与起搏器的效能、安全性有关,建议进行以下方面评价,记录、分析检测数据以验证电极导线的功能和安全特性。
1. 感知
1.1通过足够的观察时间,评价感知的稳定性。
1.2用程控仪或起搏分析仪对感知的P、R波进行测量。
1.3如电极导线具有特殊功能,需进行评价。
2. 起搏管理
通过起搏器起搏管理功能,评价电极导线的稳定性和可靠性。
3. 电极导线阻抗测量
通过足够的观察时间,验证电极导线阻抗趋势的稳定性。
验证电极导线测量特性在活体环境中能否按照设计工作。
4. 植入性检测
在活体环境下用程控仪验证植入物性能特征。
5. 感染控制
对可疑植入部位的感染通过对潜在病原体的培养和鉴定加以评价。
6. 电极导线植入部位验证
对电极导线植入部位采用X射线成像术证明确认。
附录Ⅳ
电极导线产品的临床试验分为探索性试验和确证性试验。
1. 探索性试验
电极导线属于高风险产品,因此应首先进行探索性试验研究。探索性试验有时需要更为灵活可变的方法进行设计并对数据进行分析, 以便根据逐渐积累的结果为后期的确证性试验设计提供相应的信息。探索性试验应有清晰和明确的研究目标。虽然探索性试验对有效性的验证有参考价值,但不能作为证明有效性的正式依据,医疗器械产品的安全性和有效性需通过确证性试验才能得到证实。
设计探索性试验方案时建议注意以下几点:
(1)探索性试验不一定是一个试验。
(2)可以在单个临床试验单位进行,可不设立对照组。
(3)受试人群的选择应是适应证目标人群中临床症状简单、耐受能力强、临床操作安全的人群。
(4)首次应用于人体试验研究的探索性试验的每个型号的样本量一般不应少于10例,旨在初步观察产品的安全性和耐受性。
(5)探索性试验应以安全性评价为主要目的,建议特别关注围手术期的不良事件(如:主要的心脏事件)和三个月内的电极导线各项参数。
(6)探索性试验中如出现不良事件及严重副作用后应当如实、及时报告;同时,临床试验人员应当及时做出临床判断,采取措施,保护受试者利益;必要时,伦理委员会有权立即中止临床试验。
探索性试验结束后,制造商应对数据进行统计分析,根据分析结果决定是否进行进一步临床试验(确证性试验或重新开展探索性试验)。
2. 确证性试验
经过探索性试验研究后,安全性和耐受性得到初步证实的产品可继续进行确证性试验。对于同一制造商已有同类产品批准上市,其主要功能原理已经过医学证实,安全性和有效性基本可以预见的产品或以扩大适应证(如果是全新的适应证,应进行探索性试验)、减少禁忌症为目的的产品可直接进行确证性试验研究。
确证性试验是一种事先提出假设并对其进行统计显著性检验的研究方式,确证性临床试验方案设计应以科学性为基础,客观、真实的评价被试器械的安全性和有效性。建议采用前瞻性、多中心随机对照临床试验进确证性研究。方法如下:
随机对照临床试验——
作为临床试验设计的金标准,随机对照临床试验可以有效的避免由于基线人口学特征、疾病史和伴随用药治疗等混杂因素,可能对试验结果造成的影响,也可减少由于术者操作水平不同所导致的疗效和安全性的差异。因此,建议采用前瞻性、多中心、随机对照临床试验进行以上市注册为目的的确证性研究。
对照组应选择中国已经批准上市的同种或同类产品,其主要功能原理必须与受试产品匹配。如没有相同适应证或禁忌症、相同规格型号的产品作为对照组,对照组可以采用最接近受试产品的治疗产品或治疗相同适应证的其他治疗手段。
在确证性研究阶段,为了避免研究偏性、并能够与同类产品进行对比,不建议采用历史对照或自身前后对照等的试验设计方式。
3. 评价指标及评价原则
对于任一电极导线,需要对起搏阈值、起搏稳定性、感知阈值、起搏阻抗及阻抗稳定性五个方面进行评价,观察时间至少为6个月。
3.1 主要疗效评价指标
主要疗效评价指标为“6个月时有效起搏率”,定义为:6个月时有效起搏人数/所有被试人数*100%。
“有效起搏”定义为:某一病人电极导线下述五方面评价指标(起搏阈值、起搏稳定性、感知阈值、起搏阻抗及阻抗稳定性)在表1(指标及其评价时间点)均满足评价原则中的要求,该病人计为“有效起搏”。
3.2评价原则
五方面指标(起搏阈值、起搏稳定性、感知阈值、起搏阻抗及阻抗稳定性)评价原则为:
①起搏阈值(术后即刻):右心房起搏电压阈值在脉宽为0.5毫秒时),小于等于1.5伏,右心室在脉宽为0.5ms时,小于等于1.0伏;左心室起搏电压阈值在脉宽为0.5毫秒时,小于等于3.5伏。
②起搏稳定性(术后一周、3、6个月各随访点):右心房起搏电压阈值在脉宽为0.5毫秒时),小于等于2.0伏(向上波动不超过20%),右心室在脉宽为0.5ms时,小于等于1.5伏(向上波动不超过20%);左心室起搏电压阈值在脉宽为0.5毫秒时,小于等于6.0伏。
③感知阈值(术后即刻):右心房大于等于1.5毫伏;右心室大于等于4毫伏;左心室大于等于4毫伏;
④电极导线起搏阻抗值(术后即刻):正常值300~1500欧姆,高阻抗电极正常值450~2000欧姆;典型完全断裂时阻抗大于2500~3000欧姆,电极保护层破裂时阻抗小于200欧姆。
⑤电极导线起搏阻抗稳定性(术后一周、3、6个月各随访点):正常值300~1500欧姆,高阻抗电极正常值450~2000欧姆;典型完全断裂时阻抗大于2500~3000欧姆,电极保护层破裂时阻抗小于200欧姆。
只有当程控仪测量的每一受试者上述五方面指标每一时点全部达到评价原则要求时,才认为被试产品的起搏有效性能够满足临床要求,达到“有效起搏”。表1列出了每一指标的评价时间点,以上每个测试均应用统一的测试方法。
表1 电极导线评价指标及时间点
| 指标 | 术后即刻 | 1周 | 3个月 | 6个月 |
| 起搏阈值 | √ | |||
| 起搏稳定性 | √ | √ | √ | |
| 感知阈值 | √ | |||
| 起搏阻抗 | √ | |||
| 阻抗稳定性 | √ | √ | √ |
对于表1中分别含有3个评价时间点的指标“起搏稳定性”和“阻抗稳定性”,要求每一项指标中,至少有2个及以上的时间点满足评价原则中的要求,方可计为该指标达标,否则,该指标计为失败。
3.3次要评价指标
除主要疗效评价指标以外,通常还应对次要疗效和安全性指标进行评价,一般电极导线试验中建议考虑评价以下次要指标:电极导线的手术成功指标、术后安全性指标、术后有效性指标。
手术成功指标用于评价手术完成后达到满意的即刻治疗结果。
术后安全性指标用于评价现有医学水平下常规的安全性。电极导线临床试验的安全性指标主要是植入后的不良事件及并发症。安全性指标是临床试验中的强制性观察项目。当主要不良事件发生率和并发症明显高于现有指标,应立即报告伦理委员会,停止试验,由伦理委员会决定是否中止试验。
4. 统计学考虑
数据分析时应考虑数据的完整性,所有签署知情同意并使用了受试产品的受试者必须纳入最终的统计分析。数据的剔除或在原始数据上所进行的任何处理必须有科学依据和详细说明。临床试验的数据分析应基于不同的分析集,通常包括全分析集(Full Analysis Set,FAS)、符合方案集(Per Protocol Set,PPS)和安全集(Safety Set,SS),研究方案中应明确各分析集的定义。对于全分析集中的脱落病例,其主要研究终点的缺失值的填补方法应在方案中予以说明,建议采用不同的缺失数据结转方法进行灵敏度分析,以评价缺失数据对研究结果稳定性的影响。
临床试验数据的分析应采用国内外公认的经典统计方法。临床试验方案应该明确统计检验的类型、检验假设、判定疗效有临床意义的界值等,界值的确定应有依据。
对于主要研究终点,统计结果需采用点估计及相应的95%可信区间进行评价。不能仅将p值作为对主要研究终点进行评价的依据。
由于是多中心随机对照临床试验,分析时还必须考虑中心效应,以及可能存在的中心和治疗组别间的交互效应对研究结果造成的影响。
5. 临床试验实施与管理
临床试验实施过程中出现的任何不良事件应如实记录并判断同器械的关系,分析原因。对于严重不良事件应按照法规要求及时上报;同时临床试验人员应当及时作出临床判断,采取措施,保护受试者利益;必要时中止临床试验。无论是预期的还是非预期的不良事件,都应如实记录和报告。不良事件应作为结果变量参加临床试验的统计分析。
为了保证受试者的安全性和数据的完整性、真实性,建议采用基于互联网等方式的中央随机系统分配随机号,所有随机号不得二次使用。
6. 样本量确定依据
为了使得临床试验结果具有可重复性,试验样本量的确定必须符合统计学原则。研究方案中需要明确样本量的确定依据,并提供样本量计算时所采用的公式。
对于电极导线试验设计,如下样本量计算方法可供参考:
随机对照临床试验——
根据临床经验并结合既往研究报道,假设:对照组有效起搏率为95%(考虑到导线并发症的发生率),非劣效界值为9.5%,则:当统计检验的显著性水平取5%、检验把握度(Power)为80%、研究过程中最大10%的脱落率时,按照统计学原则计算,每组需100例样本,两组共需200例。
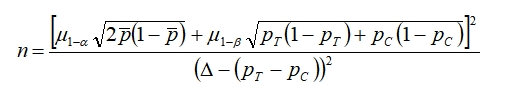
样本量计算公式为:

公式中的pr为试验组的预期疗效水平,pc为对照组的预期疗效水平,p=(pt+Pc)/2,▲为非劣效界值,u代表标准正态分布对应的分位数,α对应统计检验的一类错误水平,在此取双侧0.05,而β对应检验的二类错误水平,计算时取0.2。
制造商可根据各自申报的产品特点,提供样本量确定依据。在试验设计中,为了规避试验失败的风险,应尽量避免通过高估被试产品预期有效率水平从而减小试验规模的方法。考虑到导线并发症的发生率,以及临床操作的复杂性可能导致的疗效指标缺失等情况所造成的研究把握度的降低,建议保守的估计被试产品的预期疗效水平。根据临床专家的共识,通常对照组的预期疗效(有效起搏率)水平不应超过95%。
本指导原则旨在针对目前的植入式心脏电极导线注册申报进行规范,为申请人/制造商申请该类产品上市许可提供建议的详细信息。
(一)产品的技术资料部分,旨在以统一的、总结或概括的形式,给审评人员提供足够详细的信息以履行他们的职责。
(二)本指导原则中包含了临床试验方法的实例,编写单位认为通过这些方法可以为上市申请提供科学有效的支持性证据,但不应看作是硬性要求。制造商可建立自己的假设,计算样本量,并应当说明其合理性。
本指导原则编写成员由医疗器械注册技术审评人员、临床专家、统计学专家、工程专家、材料专家、医疗器械质量监督检验所专家共同组成。

站点声明
本网站所提供的信息仅供参考之用,并不代表本网赞同其观点,也不代表本网对其真实性负责。图片版权归原作者所有,如有侵权请联系我们,我们立刻删除。如有关于作品内容、版权或其它问题请于作品发表后的30日内与本站联系,本网将迅速给您回应并做相关处理。
郑州思途医疗科技有限公司专注于医疗器械产品政策与法规规事务服务,提供产品注册备案申报代理、临床试验、体系建立辅导、分类界定、申请创新办理服务。
附件:血液透析用水处理设备注册审查指导原则(2024年修订版)(2024年第19号).doc血液透析用水处理设备注册审查指导原则(2024年修订版)本指导原则旨在指导注册申请人对血液透析用水处理设备注册申报资料的准备及撰写,同时也为技术审评部门提供参考。本指导原则是对血液透析用水处理设备的一般要求,注册申请人依据产品的具体特性确定其中内容是否适用。若不适用,要具体阐述理由及相应的科学依据,并依据产
附件:一次性使用医用冲洗器产品注册审查指导原则(2022年第41号).doc一次性使用医用冲洗器产品注册审查指导原则本指导原则旨在指导注册申请人对一次性使用医用
为加强医疗器械生产监督管理,规范医疗器械生产质量管理,根据《医疗器械监督管理条例》(国务院令650号)、《医疗器械生产监督管理办法》(国家食品药品监督管理总局令第7号)
本指导原则旨在帮助和指导注册申请人对一次性使用腹部穿刺器注册申报资料进行准备,以满足技术审评的基本要求。同时有助于审评机构对该类产品进行科学规范的审评,提高审评工
国家药监局器审中心关于发布影像型超声诊断设备(第三类)注册审查指导原则(2023年修订版)的通告(2024年第29号)发布时间:2024-10-14为进一步规范
国家药监局药审中心关于发布《抗肿瘤药物临床试验中SUSAR分析与处理技术指导原则》的通告(2024年第42号) 发布日期:20241010
附件:康复类数字疗法软件产品分类界定指导原则(2025年第27号).doc康复类数字疗法软件产品分类界定指导原则一、目的为指导康复类数字疗法软件产品管理属性和管
附件:医用透明质酸钠创面敷料注册审查指导原则(2024年第21号).doc医用透明质酸钠创面敷料注册审查指导原则本指导原则旨在指导注册申请人准备及撰写医用透明质酸钠创面敷料注册申报资料,同时也为技术审评部门审查注册申报资料提供参考。本指导原则是对医用透明质酸钠创面敷料产品的一般要求,注册申请人应依据产品的具体特性确定其中内容是否适用,若不适用,需具体阐述理由及相应的科学依据,并依据产品的具体特性对
附件:重组胶原蛋白创面敷料注册审查指导原则(2023年第16号).doc重组胶原蛋白创面敷料注册审查指导原则本指导原则旨在指导注册申请人准备及撰写重组胶原蛋白创
国家药监局关于发布免于临床试验的体外诊断试剂临床评价技术指导原则的通告(2021年第74号)发布时间:2021-09-24为指导体外诊断试剂的临床评价工作,根据
行业资讯
知识分享
八年
医疗器械服务经验
联系思途,免费获得专属《落地解决方案》及报价
咨询相关问题或咨询报价,可以直接与我们联系
思途CRO——医疗器械注册临床第三方平台
