医用磁共振成像系统注册技术审查指导原则(2014年第2号)
来源:医疗器械注册代办 发布日期:2014-03-13 阅读量:次
附件:医用磁共振成像系统注册技术审查指导原则(2014年第2号).doc
医用磁共振成像系统注册技术审查指导原则
(2014年第2号)
本指导原则是对医用磁共振成像系统的一般要求,申请人/制造商应依据具体产品的特性对注册申报资料的内容进行充实和细化。申请人/制造商还应依据具体产品的特性确定其中的具体内容是否适用,若不适用,需具体阐述其理由及相应的科学依据。
本指导原则是对申请人/制造商和审查人员的指导性文件,但不包括注册审批所涉及的行政事项,亦不作为法规强制执行,如果有能够满足相关法规要求的其他方法,也可以采用,但是需要提供详细的研究资料和验证资料。应在遵循相关法规的前提下使用本指导原则。
本指导原则是在现行法规和标准体系以及当前认知水平下制定的,随着法规和标准的不断完善,以及科学技术的不断发展,本指导原则相关内容也将进行适时的调整。
一、范围
本指导原则适用于医用磁共振成像系统,包括永磁型和超导型。医用磁共振成像系统为应用磁共振原理进行人体成像的设备。
本指导原则适用范围为磁场强度不大于3T的医用磁共振成像系统,更大场强的磁共振系统及磁共振波谱等其他方面的内容及资料要求并未包含在本指导原则之中。
二、注册申报资料要求
(一)技术资料
制造商应当向审查人员提供对系统进行全面评价所需的基本信息。产品的技术资料作为注册文件中一个单独的文件,应包含下列信息:
1. 产品描述
应对整个系统进行描述,列出系统部件以及每个部件应用目的的详细说明(至少应包含附录I中描述部件),并给出主要部件的照片和系统各部件之间相互连接的示意图,图中应清楚地标识各部件(至少应包含附录I中描述部件),其中包括充分的解释来方便理解这些示意图。除此之外,还应包含附录I中所列的具体信息。
2. 产品适用范围和产品禁忌证。
3. 产品工作原理的概述。
4. 系统变更情况和新组件的应用(若有)。
提交文件应详细描述要修改的已上市系统,并提供所有重大硬件和软件变化的列表和描述(参照附录I)。影响安全或性能特性的变更应进行清楚标识。
新组件、附件或软件的提交文件中应详细描述新组件、附件或软件要应用的系统,并提供每个新组件或附件的功能和技术特性的描述。应该包含特殊类型组件、附件或软件的设备描述中的任何适用信息。在所有的情况下,应解释任何新的技术特性,并且应包含相关的文献参考资料或临床资料。
5. 磁共振成像系统软件描述文档另作要求。
6. 设计和生产过程相关信息。
包含产品的设计过程和生产过程的资料,可采用流程图的形式,是设计过程和生产过程的概述,但不能替代质量管理体系所需的详细资料。
7. 产品历史注册情况及产品变更情况记录。(如适用)
(二)风险管理资料
本要求的主要参考依据是医药行业标准YY/T0316-2008(idt ISO14971:2007)《医疗器械风险管理对医疗器械的应用》(下称医疗器械风险管理标准)。
制造商应提供注册产品的风险管理文档。扼要说明在注册产品的研制阶段,已对产品的有关可能的危害及产生的风险进行了估计和评价,并有针对性地实施了降低风险的技术和管理方面的措施。在产品性能测试中验证了这些措施的有效性,达到了通用和相应专用标准的要求。对所有剩余风险进行了评价,全部达到可接受的水平,为制造商对注册产品的安全性的承诺提供证实。
风险管理文档一般包括以下内容:(1)注册产品的风险管理组织;(2)注册产品的组成;(3)注册产品符合的安全标准;(4)注册产品的预期用途,与安全性有关的特征的判定;(5)对注册产品的可能危害作出判定;(6)对所判定的危害进行了哪些降低风险的控制措施;(7)对采取控制措施后的剩余风险进行估计和评价。具体要求见附录Ⅱ。附录内容作为参考,企业应根据申报产品具体情况编写风险管理文档。
(三)注册产品标准与检测要求
1. 设备描述,可参照附录I要求,至少包括以下内容:
1.1产品组成,应写明拟申报的产品组成。
1.2所采用的磁体的类型、磁场强度(含误差)和磁体的患者空间几何尺寸。
1.3射频发射系统的功率,每个射频接收线圈的特性(表面线圈还是容积线圈,规范区域,是否发射、接收、发射/接收,通道数)。
1.4梯度系统的最大峰值电压和最大峰值电流,梯度切换率,梯度强度。
1.5软件型号及版本号。
1.6系统使用工作站/显示器的最低要求。
1.7是否包含生理信号门控/触发系统。
1.8是否能够在一级和二级受控模式下运行。
1.9所有可选配的患者支撑装置的要求。
2. 安全要求,至少包括以下要求:
2.1通用电气安全应符合GB 9706.1-2007 《医用电气设备第一部分:安全通用要求》和GB 9706.15-2008《医用电气设备第一部分:安全通用要求1.并列标准:医用电气系统安全要求》的要求。参与环境试验的部件应至少包括恒温屏蔽环境外的重要部件,如电源部分,梯度子系统,谱仪子系统,射频子系统,可以被带离扫描室的射频线圈和门控组件。
2.2专用安全要求应符合YY 0319-2008《医用电气设备第2部分:医疗诊断用磁共振设备安全专用要求》的要求。
2.3激光装置应符合GB 7247.1《激光产品的辐射安全、设备分类、要求和用户指南》的要求。
2.4生物相容性应按照GB 16886进行生物相容性评价(若适用)。
3. 产品性能要求,至少包括以下要求:
3.1 应符合YY 0482-2010《医用成像磁共振设备主要图像质量参数的测定》标准的要求。
3.1.1 SNR
所有线圈都应参与,扫描方向按照每个线圈的规范区域进行测试。
3.1.2 均匀性
所有线圈都应参与,扫描方向按照每个线圈的规范区域进行测试。
3.1.3 二维层厚
选取一个线圈进行测试,三个方向都要测试。应对典型层厚和最小二维层厚(若声称)加以规定并进行测试。
3.1.4 二维几何畸变
选取最接近匀场区大小的接收线圈进行测试,三个方向都要测试。
3.1.5 空间分辨力
选取图像较均匀的线圈,优先选头线圈进行测试,三个方向都要测试。
3.1.6 鬼影
选取一个头线圈(若有)和一个体线圈进行测试,三个方向都要测试。
3.2 磁体应提供适当的性能要求,至少应包括磁体的磁场强度,磁场稳定性,磁场均匀性(同时声明匀场区的大小),逸散磁场(5Gauss线)的范围,磁体的患者空间几何尺寸五项指标。
3.3 应测试患者支撑装置的重复定位精度(如适用)、水平移动范围及误差(如适用)、最大承重和升降尺寸,精度应考虑实际的最大临床负载存在时的情况。
3.4应提供临床软件后处理功能及序列族的概述。后处理功能应能实现,序列应能成像。记录软件版本号。
(四)注册单元划分原则
注册单元划分应根据产品的预期用途、性能指标、技术结构进行综合判定。不同磁体类型/不同磁场强度的磁共振成像系统应划分为不同的注册单元;同一磁场强度,但预期用途明显不同的产品应划为不同的注册单元,如:全身用磁共振成像系统和某部位专用的磁共振成像系统。
(五)检测单元划分原则
对功能、性能、安全指标、主要部件、结构及其组合方式不同的检测样机应划分为不同的检测单元,如:
1. 电源部分结构、梯度子系统性能或结构不同,或者射频子系统性能或结构不同,或者谱仪子系统性能或结构不同,应划分为不同的检测单元;
2. 无电气连接的不同床体可以划归同一检测单元。
(六)临床资料
临床资料的详细内容参见附录Ⅲ。
(七)说明书、标签和包装标识
产品使用说明书应符合《医疗器械说明书、标签和包装标识管理规定》和相关的国家标准、行业标准的要求。应提供拟申报范围内所有型号的操作/使用说明书和软件说明书,应覆盖所申请的所有组成部分。
三、参考文献
1. 《医疗器械说明书、标签和包装标识管理规定》国家食品药品监督管理局令第10号2004.7.8。
2. 《MRI Accreditation Program Clinical Image Quality 。Guide 》,2008,American college of Radiology.
3. 《Guidance for the Submission Of Premarket Notifications for Magnetic Resonance Diagnostic Devices》,November 1998,FDA。
4. GB 9706.1-2007《医用电气设备第1部分:安全通用要求》。
5. GB 9706.15-2008《医用电气设备第1-1部分:安全通用要求并列标准:医用电气系统安全要求》。
6. YY/T 0316-2008《医疗器械风险管理对医疗器械的应用》。
7. GB/T 16886 《医疗器械生物学评价》。
8. YY 0319-2008 《医用电气设备第2-33部分:医疗诊断用磁共振设备安全专用要求》。
9. YY/T 0482-2010《医用成像磁共振设备主要图像质量参数的测定》。
10. GB 7247.1-2001 《激光产品的安全第1部分:设备分类、要求和用户指南》。
11. General Principles of Software Validation; Final Guidance for Industry and FDA Staff,Document issued on: January 11, 2002。
附录I 设备描述具体信息
(文字表述,可按照下表分类填写;若产品描述名称与表格内容不尽相同,制造商可按实际情况进行填写;表格未尽项目和内容,可以增加,内容较多可在表格后增加附件予以说明)
| 描述名称 | 部件名称 | 型号 | 具体信息 | 制造商 | 备注 |
| 主磁体 | 安装的类型(固定、移动或便携式); 主磁体的材料和类型(超导或永磁)和场强; 匀场方法; 高阶匀场线圈(如适用); 屏蔽方式(主动或被动)重量、制冷剂类型和蒸发损耗率(如适用); 磁场时间的稳定性、磁场空间均匀性(同时声明匀场区的大小),裸磁体尺寸、磁体的患者空间几何尺寸以及逸散场的范围(5高斯线的位置)。 | ||||
| 谱仪 | 发射及接收通道数,射频频率范围、稳定性,频率精度; 梯度输出信号分辨率; AD采样率,最大射频发射/接收带宽; 部件安装位置。 | ||||
| 射频系统 | (包括放大器) | 相位精度; 发射射频放大器最大输出功率及占空比; 接收前置放大器噪声和带宽; 部件安装位置。 | |||
| 射频线圈 | 线圈的类型(发射、接收、发射/接收,表面线圈还是容积线圈); 预期用途(共振核、应用部位); 线圈设计的描述(例如线性、正交、相位阵列、通道数等); 线圈设计,包括每个接收单元位置的图解; 电路示意图; 去耦方法; 线圈材料(若为新材料或腔内线圈应考虑生物相容性能); 部件安装位置。 | ||||
| 梯度系统 | 梯度线圈设计的描述,包括图解和尺寸、最大峰值电流(Imax)、最大峰值电压(Vmax)最大梯度强度/切换率、梯度线性度(何种体积范围内);屏蔽方式和冷却方式,噪声(扫描室)部件安装位置。 | ||||
| 脉冲序列 | 序列的类型(例如自旋回波、梯度回波等); 预期用途(应用部位、具体的疾病或状况); 对比度特性(例如,T1、T2等); 脉冲时序示意图; 最大层面数(多层),层面最薄厚度和间隔; 最大采集和显示矩阵尺寸; 最大视野和最小视野,最短TR最短TE。 | ||||
| 门控/触发系统 | 各种门控触发方法、连接方式、装置及相关部件; 部件安装位置。 | ||||
| 图像处理功能的完整列表 | 例如多平面重建、最大强度投影等和每个功能的目的的描述。 | ||||
| 患者支撑装置 | 安装方式(明确是否与系统有电气连接),尺寸、定位精度和最大承重,升降尺寸, 部件安装位置。 | ||||
| 工作站计算机系统 | 最低要求:显示器尺寸、类型、分辨率或显示矩阵、显示器图像显示最大灰阶 安装位置。 | ||||
| 定位方式 | 是否为激光定位;部件安装位置。 | ||||
| 其他部件及附件 | 所有医疗器械部件、附件的列表及安装位置。 | ||||
| 场地信息及工作条件 | 场地最小(净)空间(扫描室,机房,操作室); 工作条件:机房和操作室温度,扫描室温度,机房和操作室相对湿度,扫描室相对湿度,大气压力,功率,电源电压,电源频率,专用地线接地电阻; 患者空间– 尺寸、通风、通讯和照明,紧急挤压球,病人监视器(如适用)。 |
附录Ⅱ 产品风险管理要求
一、要求
制造商应提供注册产品的风险管理文档。报告应扼要说明:
(一)在拟注册产品的研制阶段,已对其有关可能的危害及产生的风险进行了估计和评价,并有针对性地实施了降低风险的技术和管理方面的措施;
(二)在产品过程测试中部分验证了这些措施的有效性,达到了通用和相应专用标准的要求;
(三)综合剩余风险是可接受的;
(四)已有适当方法获得相关生产和生产后信息。
二、风险管理文档的内容
(一)拟注册产品的风险管理组织。
(二)拟注册产品的组成及预期用途。
(三)拟注册产品与安全性有关的特征的判定
申请人应按照YY/T 0316——2008《医疗器械风险管理对医疗器械的应用》(以下简称标准)附录C的34条提示,对照拟注册产品的实际情况作针对性的简明描述。
注意:拟注册产品如存在34条提示以外的可能影响安全性的特征,也应作出说明。
(四)对拟注册产品的可能危害、可预见事件序列和危害处境的判定。
申请人应根据自身产品特点,根据标准附录E的提示,对危害、可预见事件序列、危害处境及可导致的损害作出判定。下表所列为医用磁共振成像系统常见危害示例,应关注:
(五)明确风险可接收准则。
(六)对所判定的危害确定初始风险控制方案,列出控制措施实施证据清单。
(七)对采取控制措施后的剩余风险进行估计和评价。
(八)风险评审小组全体成员应审核并确认评审结论。
附录Ⅲ 临床资料
一、进行临床试验应考虑的问题:
1. 临床试验的目的在于评价该医疗器械在正常使用条件下是否符合预期安全性和有效性。
2. 临床试验应有针对试验产品设计的临床试验方案(包括:临床试验的目的、背景和内容;临床评价标准;临床试验的风险与受益分析;临床试验人员姓名、职务、职称和任职部门;总体设计,包括研究假设、成功或失败的可能性分析;临床试验持续时间及其确定理由;临床试验例数及其确定理由;选择对象范围、对象数量及选择的理由,必要时设置对照组;临床性能的评价指标、评价方法和统计处理方法;与产品相关的潜在的伤害和风险预测及应当采取的措施;受试者《知情同意书》;各方职责等)。临床试验方案的设计应由厂家、临床专家和统计学家共同完成(例如:由厂家说明需要进行验证的线圈和有无特殊功能,由临床专家负责扫描部位和扫描序列的选择,负责制定具体扫描方案,由统计人员决定需验证的例数等相关统计学问题)。建议统计分析人员全程参与临床试验(包括:方案及CRF设计、数据管理、质量控制、统计分析及统计分析报告等)。
2.1研究设计:磁共振临床验证可以采用单组目标值法。对于单组目标值试验,应在方案设计阶段预先指明目标值。为了保证试验临床数据的完整性和受试者的安全性,建议采用中央注册系统(由申请人自行设计),所有入组的受试者均应纳入最终的统计分析。
2.2磁共振检查包括但不限于以下禁忌证:
2.2.1电子植入物:例如:起博器、刺激器、胰岛素泵、耳蜗移植体。
2.2.2不宜进行磁共振检查的其他置入物和假体、异物、贴片等。
2.2.3危重病人带有各种抢救设备者。
2.2.4其他任何临床认为不应做该试验的人群。
2.3受试者入选标准:年龄18岁以上,具有自主行为能力,排除2.2中所述禁忌证的人群。
2.4 受试者排除标准:(受试者只要满足下列任意一项要求,不可入选)
2.4.1凡有2.2所列禁忌证当中任何一项者,均不能参加本试验。
2.4.2怀孕及有可能怀孕的妇女。
2.4.3幽闭恐怖症患者。
2.4.4具有任何需要急救的紧急医疗状况的受试者。
2.4.5受试者依从性差。
2.4.6其他临床医生认为应该排除的受试者。
2.5 退出:受试者在试验全过程中可随时退出;试验者认为受试者不适宜继续进行试验可随时退出。
2.6 临床试验线圈、部位及相应位置的选择原则:
所有申报的线圈均应按照申报部位进行验证。每个线圈每个部位的验证例数均应达到统计学要求,不少于60例,计算方法见4.1(除下文中提及的2.6.2内容及2.6.3中特殊应用内容)。
通常验证的部位可为:头颅、脊柱、体部、四肢关节等。每个部位的验证对象可为单一或多个身体位置。如验证部位为“脊柱”时,可包括颈椎、胸椎、腰椎三个位置。
2.6.1某一部位含有多个位置时,样本数在各位置间应均衡分布,每个位置不少于15例。
举例说明:计划申报验证“脊柱”部位:
如欲将“脊柱”分为“颈椎、胸椎、腰椎”三个位置申报时,上述三个位置的样本例数均不得少于20例。
如欲将“脊柱”分为“颈椎、腰椎”两个位置申报时,上述两个位置的样本例数均不得少于30例。
如欲只将“脊柱”的验证位置申报为“颈椎”时,样本例数不得少于60例。
2.6.2四肢关节部位至少60例,该部位多个线圈时,每个位置验证例数应均衡分布;每个线圈每个位置不少于15例。
举例说明:每个位置使用单个线圈情况下,计划申报验证“四肢关节”部位:
如欲将“四肢关节”分为“腕、肘、肩、膝、踝”关节五个位置申报时,上述五个位置的样本例数均不得少于15例。
如欲将“四肢关节”分为“腕、肘、肩、膝”关节四个位置申报时,上述四个位置的样本例数均不得少于15例。
如欲将“四肢关节”分为“肘、肩、膝”关节三个位置申报时,上述三个位置的样本例数均不得少于20例。
如欲将“四肢关节”分为“肩、膝”关节两个位置申报时,上述两个位置的样本例数均不得少于30例。
如欲只将“四肢关节”的验证位置申报分为“膝”关节时,样本例数不得少于60例。
举例说明:某个位置使用多个线圈情况下,计划申报验证“四肢关节”部位:
如欲将“四肢关节”分为“腕、肘、肩、膝、踝”关节五个位置申报时,其中,膝关节使用两种线圈(膝关节线圈和环形线圈),则每个线圈的样本例数均不得少于15例,膝关节总例数为30例。其余“腕、肘、肩、踝”关节四个位置的样本例数均不得少于15例。
如欲将“四肢关节”分为“肘、肩、膝”关节三个位置申报时,其中,膝关节使用两种线圈,则每个线圈的样本例数均不得少于15例,膝关节总例数为30例。其余“肘、肩”关节两个位置的样本例数均不得少于20例。
如欲只将“四肢关节”的验证位置申报分为“膝”关节时,如膝关节使用两种线圈,则每个线圈的样本例数均不得少于30例。
2.6.3预期用途中具有特殊应用(见附录Ⅲ)验证例数不少于20例。
2.7临床验证扫描序列选择:
2.7.1临床验证序列包括:临床常用基本序列。
2.7.2临床验证序列的选择原则:每个部位进行验证时需至少包括两种加权图像;至少包括两种扫描方向。
2.7.3 其他:本指导原则不对具体扫描参数进行规定,由进行临床验证的研究人员设定,但需进行详细记录。
3.临床评价指标
3.1主要评价指标:影像质量的优良率。使用李克特(Likert)5分量表法对图像评分,5分:图像质量优秀,可用于诊断,非常满意;4分:图像质量良好,可用于诊断,满意;3分:图像质量有瑕疵,不影响诊断,一般;2分:图像质量欠佳,影响诊断,欠满意;1分:图像质量差,不能诊断,不满意。某特定部位影像优良率的定义为:该部位李克特评分为3~5分(含3分)的受试者占参与该部位评价的全部受试者的比例。
3.2次要评价指标:
机器使用便捷性;
整机功能及稳定性满意度;
工作站后处理软件使用的便捷性;
与设备相关的不良事件;
所有次要评价指标均应满足临床使用要求。
4. 样本量确定
每一部位的临床试验例数均需符合统计学原则,在符合伦理学的原则下,同一个受试者可以用于多个部位的验证。
4.1单组目标值法所需样本量
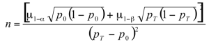
根据临床要求,影像质量的临床诊断优良率不得低于75%(目标值)(考虑到MR的图像受患者配合的影响较大,因此目标值定为75%), 假设试验组影像质量的优良率为90%,则当显著性水平取(双侧)0.05、检验效能80%、考虑10%脱落率,按统计学原则计算得到,试验中每一部位最少需要的受试者数为60例。所对应的样本量计算公式为:

公式中pr的对应试验组的预期疗效水平,P0则对应目标值水平,u代表标准正态分布对应的分位数,a对应统计检验的一类错误水平,在此取0.025,而b对应检验的二类错误水平,计算时取0.2。
各制造商应根据申报产品影像质量优良率计算样本量,但应符合上述最低例数要求。
5. 临床评价标准[详见下文(二)至(四)内容)]
5.1影像评估设备要求:应采用临床诊断型显示器,并注明显示器型号与参数,分辨率至少2M,必须符合PACS质量控制要求。
5.2影像质量的评价标准:图像的总体评价采用李克特(Likert)5分量表法主观评分:5分:图像质量优秀,可用于诊断,非常满意;4分:图像质量良好,可用于诊断,满意;3分:图像质量有瑕疵,不影响诊断,一般;2分:图像质量欠佳,影响诊断,欠满意;1分:图像质量差,不能诊断,不满意。李克特(Likert)5分量表法评分大于等于3分者为总体评价优良。
5.3影像质量的评价方法:采用双人盲态评价的方式若两人评价意见不一致时,由各临床试验参加单位主要负责人进行评价。有条件时建议采用由不参与临床试验的第三方进行评价的方法。
6. 后处理功能评估,包括:后处理界面友好性、后处理操作便捷性、图像重建速度、图像清晰度。
7. 对设备整体的评估
7.1机器使用便捷性评估,包括:受试者摆位的容易度、影像扫描界面的友好性、扫描序列选择和修改的便捷性、影像处理(影像显示、测量等)、话筒的语音通信、影像的存储/传输和管理。
7.2整机功能及安全性评估,包括:整机系统漏电现象、运行过程中过热部件、接触患者部件松动脱落致工作异常、检查床在正常承重范围内工作异常、急停开关异常或不工作(如果适用)、有无神经刺激及其他。稳定性评估,包括:无法启动机器、自动关机、扫描过程中由于机器的原因出现异常中断、扫描后没有图像且系统无法自行恢复、图像重建缺失及其他。
8. 统计分析报告
统计分析报告应将所有中心的同一部位的数据合并在一起进行统计分析,并在总的统计分析报告中对每一部位进行统计分析描述。
8.1分析人群的确定
数据分析时应考虑数据的完整性,所有签署知情同意并使用了受试产品的受试者必须纳入最终的统计分析。数据的剔除或在原始数据上所进行的任何处理必须有科学依据和详细说明。
临床试验的数据分析应基于不同的分析集,通常包括全分析集(Full Analysis Set,FAS)、符合方案集(Per Protocol Set,PPS)和安全集(Safety Set,SS),研究方案中应明确各分析集的定义。对于全分析集中的脱落病例,其主要研究终点的缺失值的填补方法应在方案中予以说明,建议采用不同的缺失数据截转方法进行灵敏度分析,以评价缺失数据对研究结果稳定性的影响,如末次数据结转法(Last Observation Carried Forward, LOCF)及最差值法(Worst Scenario Analyses)等。
主要研究终点指标的分析必须同时在全分析集和符合方案集上进行;当以上两种数据集的分析结论一致时,可以增强试验结果的可信性,当不一致时,应对其差异进行清楚的讨论和解释。如果符合方案集中被排除的受试者比例太大,则会影响试验的有效性分析。安全性指标的分析应基于安全集。
8.2分析方法的选择
临床试验数据的分析应采用国内外公认的经典统计分析方法。临床试验方案应当明确统计检验的类型、检验假设、判定疗效有临床意义的目标值,目标值的确定应有依据。
对于主要研究终点,统计结果需采用点估计及相应的95%可信区间进行评价。通过将影响质量优良率的95%可信区间与方案中预先指明的具有临床意义的目标值进行比较,从而判断受试产品是否满足方案提出的假设。
9. 临床试验实施与管理
9.1不良事件的监测及应当采取的措施
临床试验实施过程中出现的任何不良事件应如实记录并判断同器械的关系,分析原因。对于严重不良事件应按照法规要求及时上报;同时临床试验人员应当及时作出临床判断,采取措施,保护受试者利益;必要时中止临床试验。
无论是预期还是非预期不良事件,都应如实记录和报告。不良事件应作为结果变量参加临床试验的统计分析。
9.2 建议采用基于互联网/电话/传真或其他的中央注册系统对所有入组的受试者进行登记,所有注册号不得二次使用。该措施主要为了将所有入组病人的基本信息记录在中央计算机系统内,确保研究质量及受试者的安全性,以备今后对其进行跟踪、核查。
二、磁共振验证试验常见部位
验证部位例数应遵照正文临床资料2.6进行。详细内容可参照下表:
| 部位名称 | 位置说明 | 其他 |
| 头颅 | 脑、垂体、颅脑MRA(如适用)。 | |
| 脊柱 | 颈椎、胸椎和腰椎。 | |
| 体部 | 胸部、腹部、盆腔。 | |
| 四肢关节 | 腕关节、肘关节、肩关节、膝关节和踝关节等。 | |
| 特殊应用 | 心脏、乳腺动态增强、CEMRA等。 | 申请人可根据产品特点选择特殊应用进行验证。 |
三、磁共振常见部位扫描范围及层厚
1.头颅
1.1颅脑:横轴位应包括全部颅脑;矢状位应从头顶部至第二颈椎(C2)水平。扫描层厚不大于:8mm。
1.2垂体:应包括全部垂体,扫描层厚不大于:3mm。
1.3颅脑MRA:应包括颈内动脉虹吸部、大脑中动脉、大脑前动脉、椎动脉、基底动脉及大脑后动脉。扫描层厚不大于:1.5mm。
2.脊柱
2.1颈椎:矢状面至少包括枕骨大孔至T1椎体,左右范围包括双侧椎间孔。轴位扫描至少包括4个椎间盘。矢状面扫描层厚不大于:4mm。
2.2胸椎:矢状面至少包括8个以上椎体,左右范围包括双侧椎间孔。轴位扫描至少包括6个椎间盘。矢状面扫描层厚不大于:4mm。
2.3腰椎:矢状面至少包括T12至S2椎体,左右范围包括双侧椎间孔。轴位扫描至少L3-4、L4-5和L5-S1 椎间盘。矢状面扫描层厚不大于:4mm。
3. 体部
3.1胸部:目标脏器可为:纵隔、胸廓。轴位扫描范围包括完整目标脏器。扫描层厚不大于:8mm。
3.2腹部:目标脏器可为:肝脏、胆囊、胰腺、脾脏、肾上腺及双肾。轴位扫描范围包括完整目标脏器。扫描层厚不大于:8mm。
3.3盆腔:目标脏器可为:子宫、附件;或前列腺、精囊。轴位扫描范围包括完整目标脏器。扫描层厚不大于:8mm。
4. 四肢关节
4.1腕关节:应包括腕关节、周围韧带和肌腱。冠状位从桡骨背侧结节(李斯特结节)至掌骨基底掌侧;轴位应包括尺桡关节远端至掌骨基底部。扫描层厚不大于:5mm。
4.2肘关节:应包括肘关节及周围软组织。至少包括从肱骨上髁到桡骨结节下缘。扫描层厚不大于:5mm。
4.3肩关节:冠状位推荐平行于冈上肌肌腱,至少包括从小圆肌到喙突前缘;轴位至少包括肩峰上缘到盂肱关节下缘;矢状位平行于盂肱关节窝的关节面,至少包括从肩胛颈到肱骨头外缘。扫描层厚不大于:5mm。
4.4膝关节:应包括整个膝关节,从髌骨上方到胫骨结节。扫描层厚不大于:5mm。
4.5踝关节:应包括整个踝关节,从胫骨下端至跟骨下缘。扫描层厚不大于:5mm。
5. 特殊应用
5.1心脏:扫描范围应包括整个心脏,至少有左室短轴、四腔心两个方位。左室短轴从心尖至心底不少于4层;四腔心至少4层。扫描层厚不大于:8mm。
5.2 CEMRA:目标脏器为血管,需注射钆类对比剂。扫描层厚不大于:1.5mm。
5.3乳腺:应包括双侧乳腺,需注射钆类对比剂。推荐使用轴位及矢状位扫描。扫描层厚不大于:5mm。
5.4其他:申请人可根据产品特点进行验证,验证方案应遵循当时临床通用扫描方案和图像质量评价标准。
四、临床评价标准
1. 影像质量评估等级分为
5分:图像质量优秀,可用于诊断,非常满意;
4分:图像质量良好,可用于诊断,满意;
3分:图像质量有瑕疵,不影响诊断,一般;
2分:图像质量欠佳,影响诊断,欠满意;
1分:图像质量差,不能诊断,不满意。
评分大于等于3分者为总体评价优良。
2.各部位影像评估标准(可根据设备的预期用途选择)
| 部位 | 整体评分 | 图像质量评价标准(需同时满足所有要求) |
| 头颅 | 5分(图像质量优秀,可用于诊断,非常满意) | 图像信号均匀; 大脑半球灰白质、脑脊液、颅骨及周围软组织对比很好; 未见伪影; 脑实质、脑室、脑沟、垂体显示清楚,颈内动脉虹吸部、大脑中动脉、大脑前动脉、椎动脉、基底动脉、大脑后动脉及一级分支显示非常清晰; 可用于诊断。 |
| 4分(图像质量良好,可用于诊断,满意) | 图像信号均匀; 大脑半球灰白质、脑脊液、颅骨及周围软组织对比良好; 未见伪影; 脑实质、脑室、脑沟、垂体显示清楚,颈内动脉虹吸部、大脑中动脉、大脑前动脉、椎动脉、基底动脉、大脑后动脉及一级分支显示清晰; 可用于诊断。 | |
| 3分(图像质量有瑕疵,不影响诊断,一般) | 图像信号均匀性可; 大脑半球灰白质、脑脊液、颅骨及周围软组织对比可; 可见轻度伪影; 脑实质、脑室、脑沟、垂体显示清楚,颈内动脉虹吸部、大脑中动脉、大脑前动脉、椎动脉、基底动脉、大脑后动脉显示清晰; 不影响诊断。 | |
| 2分(图像质量欠佳,影响诊断,欠满意) | 图像信号均匀性略差; 大脑半球灰白质、脑脊液、颅骨及周围软组织对比略差; 可见伪影; 脑实质、脑室、脑沟、垂体显示欠清,颈内动脉虹吸部、大脑中动脉、大脑前动脉、椎动脉、基底动脉、大脑后动脉显示欠清; 影响诊断。 | |
| 1分(图像质量差,不能诊断,不满意) | 图像信号均匀性差; 大脑半球灰白质、脑脊液、颅骨及周围软组织对比差; 可见明显伪影; 脑实质、脑室、脑沟、垂体显示不清,颈内动脉虹吸部、大脑中动脉、大脑前动脉、椎动脉、基底动脉、大脑后动脉显示不清; 不能诊断。 | |
| 脊柱 | 5分(图像质量优秀,可用于诊断,非常满意) | 图像信号均匀; 脊柱椎体及附件骨质、椎间盘、硬膜囊内脑脊液及脊髓、神经根、周围软组织对比很好; 未见伪影; 椎体、间盘、椎管内结构、椎旁软组织显示清楚; 可用于诊断。 |
| 4分(图像质量良好,可用于诊断,满意) | 图像信号均匀; 脊柱椎体及附件骨质、椎间盘、硬膜囊内脑脊液及脊髓、神经根、周围软组织对比良好; 未见伪影; 椎体、间盘、椎管内结构、椎旁软组织显示清楚; 可用于诊断。 | |
| 3分(图像质量有瑕疵,不影响诊断,一般) | 图像信号均匀性可; 脊柱椎体及附件骨质、椎间盘、硬膜囊内脑脊液及脊髓、神经根、周围软组织对比可; 可见轻度伪影; 椎体、间盘、椎管内结构、椎旁软组织显示清楚; 不影响诊断。 | |
| 2分(图像质量欠佳,影响诊断,欠满意) | 图像信号均匀性略差; 脊柱椎体及附件骨质、椎间盘、硬膜囊内脑脊液及脊髓、神经根、周围软组织对比略差; 可见伪影; 椎体、间盘、椎管内结构、椎旁软组织显示欠清; 影响诊断。 | |
| 1分(图像质量差,不能诊断,不满意) | 图像信号均匀性差; 脊柱椎体及附件骨质、椎间盘、硬膜囊内脑脊液及脊髓、神经根、周围软组织对比差; 可见明显伪影; 椎体、间盘、椎管内结构、椎旁软组织显示不清; 不能诊断。 | |
| 体部 | 5分(图像质量优秀,可用于诊断,非常满意) | 图像信号均匀; 胸部、腹部和盆腔实质脏器、管腔内液体、软组织对比很好; 未见伪影; 目标器官显示清楚; 可用于诊断。 |
| 4分(图像质量良好,可用于诊断,满意) | 图像信号均匀; 胸部、腹部和盆腔实质脏器、管腔内液体、软组织对比良好; 未见伪影; 目标器官显示清楚; 可用于诊断。 | |
| 3分(图像质量有瑕疵,不影响诊断,一般) | 图像信号均匀性可; 胸部、腹部和盆腔实质脏器、管腔内液体、软组织对比可; 可见轻度伪影; 目标器官显示清楚; 不影响诊断。 | |
| 2分(图像质量欠佳,影响诊断, 欠满意) | 图像信号均匀性略差; 胸部、腹部和盆腔实质脏器、管腔内液体、软组织对比略差; 可见伪影; 目标器官显示欠清; 影响诊断。 | |
| 1分(图像质量差,不能诊断, 不满意) | 图像信号均匀性差; 胸部、腹部和盆腔实质脏器、管腔内液体、软组织对比差; 可见明显伪影; 目标器官显示不清; 不能诊断。 | |
| 四肢关节 | 5分(图像质量优秀,可用于诊断,非常满意) | 图像信号均匀; 关节骨质、软骨、韧带、肌肉及软组织对比很好; 未见伪影; 关节骨质、关节软骨、周围软组织显示清楚; 可用于诊断。 |
| 4分(图像质量良好,可用于诊断,满意) | 图像信号均匀; 关节骨质、软骨、韧带、肌肉及软组织对比良好; 未见伪影; 关节骨质、关节软骨、周围软组织显示清楚; 可用于诊断。 | |
| 3分(图像质量有瑕疵,不影响诊断,一般) | 图像信号均匀性可; 关节骨质、软骨、韧带、肌肉及软组织对比可; 可见轻度伪影; 关节骨质、关节软骨、周围软组织显示清楚; 不影响诊断。 | |
| 2分(图像质量欠佳,影响诊断,欠满意) | 图像信号均匀性略差; 关节骨质、软骨、韧带、肌肉及软组织对比略差; 可见伪影; 关节骨质、关节软骨、周围软组织显示尚可; 影响诊断。 | |
| 1分(图像质量差,不能诊断,不满意) | 图像信号均匀性差; 关节骨质、软骨、韧带、肌肉及软组织对比差; 可见明显伪影; 关节骨质、关节软骨、周围软组织显示不清; 不能诊断。 | |
| 心脏 大血管 | 5分(图像质量优秀,可用于诊断,非常满意) | 图像信号均匀性好; 血液、心肌、大血管及周围软组织对比很好; 未见伪影; 心肌、房室腔、心包、大血管结构显示清楚; 可用于诊断。 |
| 4分(图像质量良好,可用于诊断,满意) | 图像信号均匀性好; 血液、心肌、大血管及周围软组织对比良好; 未见伪影; 心肌、房室腔、心包、大血管结构显示清楚; 可用于诊断。 | |
| 3分(图像质量有瑕疵,不影响诊断,一般) | 图像信号均匀性可; 血液、心肌、大血管及周围软组织对比可; 可见轻度伪影; 心肌、房室腔、心包、大血管结构显示清楚; 不影响诊断。 | |
| 2分(图像质量欠佳,影响诊断,欠满意) | 图像信号均匀性略差; 血液、心肌、大血管及周围软组织对比略差; 可见伪影; 心肌、房室腔、心包、大血管结构尚可分辨; 影响诊断。 | |
| 1分(图像质量差,不能诊断,不满意) | 图像信号均匀性差; 血液、心肌、大血管及周围软组织对比差; 可见明显伪影; 心肌、房室腔、心包、大血管结构显示不清; 不能诊断。 | |
| 乳腺 | 5分(图像质量优秀,可用于诊断,非常满意) | 图像信号均匀; 乳腺腺体、脂肪及软组织对比很好; 未见伪影; 乳腺腺体及周围软组织显示清楚; 可用于诊断。 |
| 4分(图像质量良好,可用于诊断,满意) | 图像信号均匀; 乳腺腺体、脂肪及软组织对比良好; 未见伪影; 乳腺腺体及周围软组织显示清楚; 可用于诊断。 | |
| 3分(图像质量有瑕疵,不影响诊断,一般) | 图像信号均匀性可; 乳腺腺体、脂肪及软组织对比可; 可见轻度伪影; 乳腺腺体及周围软组织显示清楚; 不影响诊断。 | |
| 2分(图像质量欠佳,影响诊断,欠满意) | 图像信号均匀性略差; 乳腺腺体、脂肪及软组织对比略差; 可见伪影; 乳腺腺体及周围软组织尚可分辨; 影响诊断。 | |
| 1分(图像质量差,不能诊断,不满意) | 图像信号均匀性差; 乳腺腺体、脂肪及软组织对比差;可见明显伪影;乳腺腺体及周围软组织显示不清; 不能诊断。 | |
| 其他 | 5分(图像质量优秀,可用于诊断,非常满意) | 图像信号非常均匀; 组织间对比很好; 未见伪影; 常见器官显示清楚; 可用于诊断。 |
| 4分(图像质量良好,可用于诊断,满意) | 图像信号均匀; 组织间对比良好; 未见伪影; 常见器官显示清楚; 可用于诊断。 | |
| 3分(图像质量有瑕疵,不影响诊断,一般) | 图像信号略不均匀; 组织间对比可; 可见轻度伪影; 常见器官显示尚清楚; 不影响诊断。 | |
| 2分(图像质量欠佳,影响诊断,欠满意) | 图像信号不均匀; 组织间对比略差; 可见伪影; 常见器官显示欠清;影响诊断。 | |
| 1分(图像质量差,不能诊断,不满意) | 图像信号均匀性差; 组织间对比差; 可见明显伪影; 常见器官显示不清,无法诊断。 |
医用磁共振成像系统注册技术审查指导原则编制说明
一、编写目的和依据
医用磁共振成像系统为大型影像类产品,为保证对产品安全有效性的全面把握,指导生产企业研究开发磁共振成像系统、产品注册资料申报撰写和技术审评,提高审评效率,国家食品药品监督管理总局医疗器械技术审评中心总结技术审评实践,参考国内外相关产品的生产研发进展,结合我国国情及现有的技术标准,编写了本指导原则。
二、编写内容
(一)本指导原则适用范围为磁场强度不大于3T的医用磁共振成像系统,更大场强的磁共振系统及磁共振波谱等其他方面的内容及资料要求并未包含在本指导原则之中。
(二)产品的技术资料部分,旨在以统一的、总结或概括的形式,给审评人员提供足够详细的信息以履行他们的职责。
(三)磁共振成像系统软件相关要求可参照国家食品药品监督管理总局医疗器械技术审评中心对医用软件的通用要求。
(四)本指导原则中包含了临床试验方法的实例,总局医疗器械技术审评中心认为通过这些方法可以为上市申请提供科学有效的支持性证据,但不应看作是硬性要求。制造商可建立自己的假设,计算样本量,并应当说明其合理性。
三、编写单位
国家食品药品监督管理总局医疗器械技术审评中心。

站点声明
本网站所提供的信息仅供参考之用,并不代表本网赞同其观点,也不代表本网对其真实性负责。图片版权归原作者所有,如有侵权请联系我们,我们立刻删除。如有关于作品内容、版权或其它问题请于作品发表后的30日内与本站联系,本网将迅速给您回应并做相关处理。
郑州思途医疗科技有限公司专注于医疗器械产品政策与法规规事务服务,提供产品注册备案申报代理、临床试验、体系建立辅导、分类界定、申请创新办理服务。
行业资讯
知识分享






豫公网安备 41010202003160号